Kaş Milli Emlak Şefliği'nden 50 milyon TL'ye satılık 14 arsa!
Antalya Kaş Milli Emlak Şefliği, Antalya'nın Kaş ilçesi Kalkan mahallesinde bulunan 14 arsayı satışa çıkardı. Gayrimenkullerin satış bedeli 49 milyon 908 bin TL olarak belirlendi.
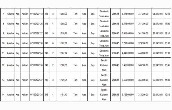
Antalya Kaş Milli Emlak Şefliği, Antalya'nın Kaş ilçesi Kalkan mahallesinde bulunan 14 arsayı 49 milyon 908 bin TL'ye satıyor. Gayrimenkulün ihalesi 27 Nisan 2021 ile 29 Nisan 2021 tarihleri arasında gerçekleşecek.
Antalya Kaş Milli Emlak Şefliğinden:


AÇIKLAMALAR
1-Yukarıda nitelikleri belirtilen taşınmazların satış ihaleleri 2886 sayılı Devlet İhale Kanununun 45. maddesi uyarınca Açık Teklif Usulü ile İlanda belirtilen muhammen bedeller üzerinden karşılarında yazılı tarih ve saatlerde Kaş Belediye Başkanlığı Toplantı Salonunda toplanacak Komisyonca ayrı ayrı yapılacaktır.
2-İhalelere iştirak etmek isteyenlerin;
a) İhale başlangıç saatine kadar yatıracakları geçici teminat bedeline ilişkin makbuzu (banka aracılığı ile yatırılması halinde muhasebe kayıtlarına intikal etmiş olması şarttır) veya 2886 sayılı Kanunun 27. maddesi uyarınca yayımlanan Hazine Taşınmazlarının İdaresi Hakkında Yönetmelik hükümlerinde belirtilen şartlara uygun ( süresiz limit içi düzenlenecek, işin özelliği belirtilecek banka teyit yazısı ile birlikte getirilecek) düzenlenmiş süresiz geçici teminat mektubu,
b) İkametgah belgesi ile Nüfus Cüzdanı Örneği (T.C. Kimlik No belirtir - Aslı İhale sırasında komisyona ibraz edilecektir.)
c) Başkası adına ihaleye katılacak olanlar için adlarına düzenlenmiş noter tasdikli vekâletname aslı,
d) Özel hukuk tüzel kişilerinin, yukarıda belirtilen şartlardan ayrı olarak, idare merkezlerinin bulunduğu yer mahkemesinden veya siciline kayıtlı bulunduğu ticaret veya sanayi odasından yahut benzeri meslek kuruluşundan ihalenin yapıldığı 2021 yılı içinde alınmış sicil kayıt belgesi ile faaliyet ve tüzel kişilik adına ihaleye katılacak veya teklifte bulunacak kişilerin tüzel kişiliğe temsile tam yetkili olduklarını gösterir noterlikçe tasdik edilmiş imza sirkülerini veya vekâletnameyi ibraz etmeleri,
e) Kamu Tüzel Kişilerinin ise, tebligat için Türkiye' de adres göstermeleri, vergi kimlik numaralarının bildirmeleri ve tüzel kişilik adına ihaleye katılacak veya teklifte bulunacak kişilerin tüzel kişiliği temsile tam yetkili olduğunu belirtir belge ile birlikte ihale saatinde komisyon huzurunda hazır bulunmaları gerekmektedir.
3- Şartname ve ihale dosyaları mesai saatleri içerisinde Kaş Milli Emlak Şefliğinde ücretsiz olarak görülebilir.
4- Postayla yapılacak müracaatlarda teklifin 2886 sayılı Devlet İhale Kanununun 37 nci maddesine uygun olarak hazırlanması ve teklifin ihale saatinden önce komisyona ulaştırılması şarttır. Postada meydana gelebilecek gecikmelerden dolayı İdare ve Komisyonca herhangi bir sorumluluk kabul edilmeyecektir.
5- Tekliflerin hazırlanmasına dair kılavuz ve geçici teminat mektubunun örneği https://www.milliemlak.gov.tr/Documents/Satis/ satis-brosur.pdf internet adresinden görülebilir.
6- İhale bilgileri https://antalya.csb.gov.tr/milli-emlak-duyuruları-i-88882 internet adreslerinden öğrenilebilir.
7- 2863 sayılı Kanun kapsamında verilen Sertifikalar ödeme aracı olarak kabul edilemez.
8- Komisyonlar ihaleyi yapıp yapmamakta serbesttir.