Kayseri Büyükşehir'den 91.3 milyon TL'ye satılık 31 arsa!
Kayseri Büyükşehir Belediyesi, Kocasinan İlçesi Şeker Mahallesinde bulunan toplam 31 adet Konut ve Konut + Ticaret alanı arsayı ihale ile satıyor. İhale 11 Temmuz'da yapılacak...
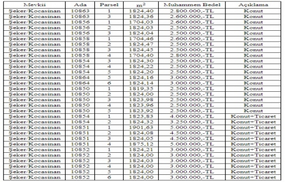
Kayseri Büyükşehir Belediye Başkanlığı tarafından mülkiyeti belediyeye ait olup, Kocasinan İlçesi Şeker Mahallesinde bulunan toplam 31 adet Konut ve Konut + Ticaret alanı arsa ihale ile satışa sunuluyor.
Toplam muhammen bedeli 91 milyon 310 bin TL olarak belirlenen arsaların ihalesi 11 Temmuz 2018 Çarşamba günü saat 14.00’da Belediye Encümen Salonunda yapılacak.
TAŞINMAZLAR SATILACAKTIR
Kayseri Büyükşehir Belediye Başkanlığından:
Mülkiyeti Belediyemize ait olup, Kocasinan İlçesi Şeker Mahallesinde bulunan toplam 31 adet Konut ve Konut + Ticaret alanı arsaları 2886 sayılı Devlet İhale Kanununun 37. maddesi gereğince yapılacak “Kapalı Teklif Usulü” ihale ile ayrı ayrı satılacaktır.
1 - İhale 11/07/2018 Çarşamba günü saat 14.00’da Belediyemiz Encümen Salonunda yapılacaktır.
2 - İhale katılımcılarından istenecek belgeler:
İştirakçilerin ihaleye katılabilmesi için verilecek kapalı teklif zarflarında aşağıda istenilen belgelerin bulundurulması zorunludur:
a- 2886 sayılı Kanunun 37. maddesi gereğince hazırlanacak Teklif Mektubu
b- Geçici Teminat makbuzu veya teminat mektubu veya Devlet İç Borçlanma Senetleri veya bu senetler yerine düzenlenen belgeler. (Bankalar ve özel finans kurumları tarafından verilen teminat mektupları süresiz, Hazine Müsteşarlığınca ihraç edilen Devlet İç Borçlanma Senetleri nominal bedele faiz dahil edilerek ihraç edilmiş ise bu işlemlerde ana paraya tekâbül eden satış değerleri esas alınır)
c- Gerçek kişilerde ikâmetgâh ilmühaberi, tüzel kişilerde ise bağlı oldukları oda kaydı.
ç- Tüzel kişiliklerde noter tasdikli imza sirküleri.
d- Şartname bedeli 100,00.-TL olup, bu bedelin yatırıldığına dair Belediye makbuzunun ibraz edilmesi.
e- 2886 sayılı Kanundan dolayı ihaleye katılmama cezası almadığına dair yazılı taahhütname.
3 - Konu ile ilgili ihale şartnamesi ve ekleri Belediyemiz Mali Hizmetler Daire Başkanlığı Gelir Şube Müdürlüğü’nden temin edilebilir.
4 - Son müracaat tarihi 11/07/2018 Çarşamba günü saat 11.00’e kadar olup, müracaatlar Belediyemiz Encümen Başkanlığı’nın (İhale Komisyonu) sekretarya görevini yapan Kararlar Şube Müdürlüğü kalemine yapılacaktır.
