Konut kredisi yıllık maliyet oranı!
Konut kredisi yıllık maliyet oranı nasıl hesaplanır? İşte Konut Finansmanı Sisteminde Erken Ödeme İndirimi ve Yıllık Maliyet Oranı Hesaplama Usul ve Esasları Hakkında Yönetmelik kapsamındaki hesaplama formülü...
Konut kredisi yıllık maliyet oranı!
Konut finansmanı sözleşmesinin tüketiciye yıllık maliyet oranı, Konut Finansmanı Sisteminde Erken Ödeme İndirimi ve Yıllık Maliyet Oranı Hesaplama Usul ve Esasları Hakkında Yönetmelik kapsamında Ek 2’ de verilen formül doğrultusunda, kredinin veya finansal kiralamanın tüketiciye verildiği tarihte, aşağıdaki bedeller hariç tutularak hesaplanıyor.
Gecikme faizi oranı,
Konut finansmanı kuruluşu, konut finansmanını, belirli bir konutun veya belirli bir satıcı ile yapılacak satış sözleşmesi şartı ile vermesi durumunda bu konutun satış fiyatı dışında kalan ve tüketicinin ödemekle yükümlü olduğu her türlü bedel,
Tüketicinin makul bir seçim özgürlüğünün bulunmadığı durumlar ile ödenmesi gereken bedellerin normalin çok üstünde olduğu durumlar hariç, fon transferine ilişkin bedeller ile kredi ve kira geri ödemeleri, faiz ödemeleri ve diğer masraf ve harçların tahsili amacıyla açılmış bir hesabın muhafaza edilmesine ilişkin bedeller. Ancak, söz konusu ödeme ya da geri ödemelerin tahsili için yapılan masraflar yıllık maliyet oranı hesabına dahil edilecektir,
Konut finansmanı şartları üzerinde belli bir etkisi olsa dahi konut finansmanı sözleşmesinden ayrı sözleşmelerden doğan üyelik aidatları,
Tüketicinin ölümü, maluliyeti, hastalanması ya da işsiz kalması halinde;
1 - Yasal faiz ve alacaklı tarafından konut finansmanının verilmesi için şart koşulmuş diğer masraflar,
2 - Toplam konut finansmanı miktarına eşit ya da bu miktardan az bir meblağın konut finansmanı kuruluşuna ödenmesini sağlamak amacıyla tasarlanmış bedeller dışında kalan sigorta ya da teminat masrafları.
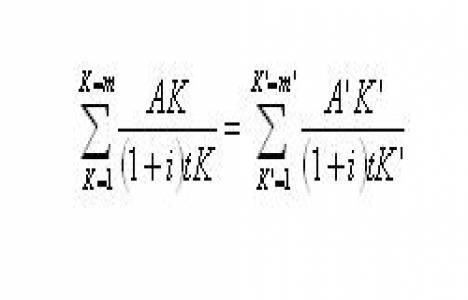
EK-2
Ödemeler ve Masraflar ile Konut Finansmanı Miktarı Arasındaki Denkliği Gösteren Denklem:

Formülde kullanılan harf ve sembollerin anlamları:

Konut Finansmanı Sisteminde Erken Ödeme İndirimi ve Yıllık Maliyet Oranı Hesaplama Usul ve Esasları Hakkında Yönetmelik!
Işıl Seren KESKİN/Emlakkulisi.com