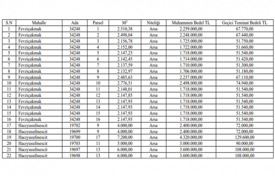
Konya Karatay'da 47.4 milyon TL'ye satılık 22 gayrimenkul!
Karatay Belediye Başkanlığı, Konya Karatay'da yer alan 22 adet gayrimenkulü 47 milyon 447 bin TL bedelle satışa çıkardı.
Karatay Belediye Başkanlığı, Konya Karatay'da yer alan 22 adet gayrimenkulü satışa çıkardı. Gayrimenkullerin toplam satış bedeli 47 milyon 447 bin TL olarak belirlendi.
TAŞINMAZLAR SATILACAKTIR
Karatay Belediye Başkanlığından:
1- Mülkiyeti Belediyemize ait aşağıda tapu kayıtları ve muhammen bedelleri yazılı 19. 20. 21. ve 22. sıradaki gayrimenkuller 2886 sayılı Kanun ve şartnamesi dâhilinde kapalı teklif usulü ile diğer gayrimenkuller açık teklif usulü ile satılacaktır.
2- İhale 22.07.2020 Çarşamba günü saat 15:00'de Belediye Encümenince, Encümen toplantı salonunda yapılacaktır.
3- İhaleye gireceklerin en geç 22.07.2020 Çarşamba günü saat 12:00’a kadar geçici teminat bedelini Belediyemize nakit yatırmaları veya 2886 sayılı kanuna göre teminat yerine geçen belgeler ile 6. ve 8. maddede belirtilen belgeleri Belediyemiz Gelir ve Tahakkuk Şefliği’ne ibraz etmeleri gerekmektedir.
4- Gayrimenkullerin bedelleri;
a) Satılacak gayrimenkullerin bedelleri sözleşme tarihinde % 25’i peşin geri kalanı peşinat tahsil edildikten 1 ay sonra başlamak üzere 23 ay eşit aralıklı taksit halinde ödenecek olup, satışlar 3065 sayılı Katma Değer Vergisi Kanunun 4/p maddesi gereği KDV’den muaftır.
5- Satış bedelinin peşin ödenmesi halinde gayrimenkul satış bedeli üzerinden %10 peşin ödeme indirimi uygulanacaktır. Ancak peşin ödeme indirimi sonucu ödenecek bedel muhammen bedelin altına düşemez.
6- Kapalı Teklif Usulü ihaleye katılabilmek için istenen belgeler;
A. Dış zarf
a) Müracaat dilekçesi (ADNKS’nde bulunan adres yazılacak), Nüfus Cüzdanı fotokopisi,
b) Geçici teminat (2886 sayılı D.İ.K.’nun 26 ncı maddesinde belirtilen değerler geçerlidir.)
c) Tüzel kişi olması halinde, ilgisine göre tüzel kişiliğin ortakları, üyeleri veya kurucuları ile tüzel kişiliğin yönetimdeki görevlileri belirten son durumu gösterir Ticaret Sicil Gazetesi veya bu hususları tevsik eden belgeler ile Ticaret ve/veya Sanayi Odası ihaleye ilişkin ilanın yapıldığı yıl içerisinde alınmış belge ve tüzel kişiliğin imza sirküleri,
d) İstekliler adına vekaleten iştirak ediliyor ise, istekli adına ihaleye katılan kişinin ihaleye katılmaya ilişkin Noter tasdikli vekaletnamesi ile Noter tasdikli imza beyannamesi,
e) Ortak girişim olması halinde ortakların hisse oranlarını gösterir Noter tasdikli ortak girişim beyannamesi, (Ortak girişimi oluşturan gerçek ve tüzel kişilerin her biri için belirtilen belgelerin verilmesi gerekir.)
B. İç zarf
a) Teklif mektubu.
7- Kapalı Teklif Usulü ihaleye katılmak isteyenler ihale zarflarını ihale günü saat 12:00’a kadar encümen başkanlığına sunulmak üzere Yazı İşleri Müdürlüğüne, (posta ile gönderilerde olabilecek gecikmeler kabul edilmez.) teslim etmeleri gerekmektedir.
8- Açık teklif usulü ihaleye katılabilmek için istenen belgeler;
a) Müracaat dilekçesi (ADNKS’nde bulunan adres yazılacak), Nüfus Cüzdanı fotokopisi
b) Geçici teminat (2886 sayılı D.İ.K.’nun 26 ncı maddesinde belirtilen değerler geçerlidir.)
c) Tüzel kişi olması halinde, ilgisine göre tüzel kişiliğin ortakları, üyeleri veya kurucuları ile tüzel kişiliğin yönetimdeki görevlileri belirten son durumu gösterir Ticaret Sicil Gazetesi veya bu hususları tevsik eden belgeler ile Ticaret ve/veya Sanayi Odası ihaleye ilişkin ilanın yapıldığı yıl içerisinde alınmış belge ve tüzel kişiliğin imza sirküleri,
d) İstekliler adına vekaleten iştirak ediliyor ise, istekli adına ihaleye katılan kişinin ihaleye katılmaya ilişkin Noter tasdikli vekaletnamesi ile Noter tasdikli imza beyannamesi,
e) İhalelere katılacak olan gerçek veya tüzel kişilerin Karatay Belediyesine borcu olmadığına dair belge,
f) Ortak girişim olması halinde ortakların hisse oranlarını gösterir Noter tasdikli ortak girişim beyannamesi, (Ortak girişimi oluşturan kişilerin her biri için belirtilen belgelerin verilmesi gerekir.)
9- Şartname hakkında detaylı bilgi Belediyemiz Gelir ve Tahakkuk Şefliğinden alınabilir.
10- Belediye Encümeni; ihaleyi yapıp yapmamakta ve uygun bedeli tespitte serbesttir.
