Merzifon Belediyesi'nden 22 milyon TL'ye satılık 25 iş yeri!
Merzifon Belediyesi, Harmanlar Mahallesi'nde yer alan İş ve Yaşam Merkezi'ndeki 25 iş yerini ihale ile satıyor. İhale 4 Aralık'ta yapılacak...
Merzifon Belediye Başkanlığı tarafından Harmanlar Mahallesi'nde yer alan İş ve Yaşam Merkezi'ndeki 25 iş yeri ihale ile satışa sunuluyor. Toplam muhammen bedeli 22 milyon 155 bin lira olarak belirlenen iş yerlerinin ihalesi 4 Aralık'ta gerçekleşecek.
İŞ VE YAŞAM MERKEZİ İŞYERİ SATILACAKTIR
Merzifon Belediye Başkanlığından:
1- İHALE USULÜ: 2886 Sayılı Devlet İhale Kanunu’nun 45. maddesi gereği tahmini muhammen bedelden artırım yapılarak Açık Teklif Usulü ile İŞYERİ SATIŞI yapılacaktır.
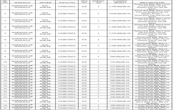
A- TAHMİN EDİLEN BEDEL VE GEÇİCİ TEMİNAT, ŞARTNAME BEDELLERİ MİKTARI:

2- İHALENİN YAPILACAĞI YER VE TARİH: Merzifon Belediye Başkanlığı Encümen Toplantı Salonunda 04.12.2018 SALI günü Encümen huzurunda yapılacaktır.
3- İDARENİN ADRESİ VE TELEFON NUMARALARI Sofular Mahallesi Cumhuriyet Caddesi No:163 Merzifon – AMASYA Tel: 0358-514 69 91 Fax: 0358-513 83 29
4- İHALEYE GİREBİLME ŞARTLARI: İhaleye katılmak isteyen isteklilerde aşağıdaki şartlar aranır.
A) Kanuni ikametgâh olması;
B) Türkiye’de Tebligat için adres göstermesi.
C) İmza sirküleri vermesi;
a) Gerçek kişi olması halinde noter tasdikli imza sirküleri
b) Tüzel kişi olması halinde tüzel kişiliğin noter tasdikli imza sirküleri( Türkiye’de şubesi bulunmayan yabancı tüzel kişiliğin belgelerinin bu tüzel kişiliğin bulunduğu ülkede ki Türk konsolosluğu veya Türkiye Dışişleri Bakanlığınca onaylanmış olması gerekmektedir.)
c) Ortak girişim olması halinde ortak girişimi oluşturan gerçek kişi veya tüzel kişilerin her birinin (a) ve (b) fıkralarındaki esaslara göre temin edecekleri belge;
D) İstekliler adına vekâleten ihaleye katılınıyor ise istekli adına teklifte bulunacak kimselerin Vekâletnameleri ile vekâleten iştirak edenin noter tasdikli imza sirküleri vermesi (Türkiye’de şubesi bulunmayan yabancı tüzel kişiliğin belgelerinin bu tüzel kişiliğin bulunduğu ülkede ki Türk konsolosluğu veya Türkiye Dışişleri Bakanlığınca onaylanmış olması gerekmektedir.)
E)Yukarıdaki tabloda yazılı miktarda geçici teminat vermesi;
F) İsteklilerin ortak girişim olması halinde bu şartnameye ekli örneğe uygun olarak girişim beyannamesi ile ortaklarca imzalı ortaklık sözleşmesini vermesi( İhale üzerinde kaldığı takdirde noter tasdikli ortaklık sözleşmesi verilir ayrıca grubun bütün ortakları idare ile yapacakları ihale sözleşmesini şahsen veya vekilleri vasıtası ile imzalayacaklardır.)
G) İdari şartnamenin 13. Maddesinde yazılı esaslara göre teklif verilmesi.