Meyve veren ağacı keserek yeni bir ağaç elde edebilen yoktur!
Sosyolog Faruk Özcan, müteahhitlik sektörünü değerlendirdi; Özcan, "Müteahhitlik sektörünü ve ekonomimizdeki yerini ön yargılar veya temennilerle değil de olabildiğince verilere dayanarak ele alarak, sektörün geçirdiği sürecin ekonomimize etkilerini ortaya koymamız gerektiğine inanıyorum" dedi...
Halihazırda ülkemizin en bir dokunup bin ah işitilecek sektörlerinin başında inşaat sektörü gelmektedir. Bunun satışlar, maliyetler, krediler, … gibi birçok boyutu vardır. Ancak gelin görün ki, bu arka planın yok sayılıp dönem dönem kestirmeci bir takım yorumlar yapılabilmesi, inşaat sektörün vefa sadece semt adı mı şeklinde sormasına da neden olmaktadır. Bu çerçevede, müteahhitlik sektörünü ve ekonomimizdeki yerini ön yargılar veya temennilerle değil de olabildiğince verilere dayanarak ele alarak, sektörün geçirdiği sürecin ekonomimize ve dolayısıyla hepimize etkilerini ortaya koymamız gerektiğine inanıyorum.
Öncelikle o çok tartışılan ülkemizde müteahhit sayısı ile başlayacak olursak, ülkemizde müteahhit sayısı:

Hazırlayan: Sosyolog Faruk Özcan
Kaynak: Çevre ve Şehircilik Bakanlığı, Yapı Müteahhitliği Bilişim Sistemi, vatandaş girişi, https://yambis.csb.gov.tr/Muteahhit/Index, Erişim Tarihi: 22.07.2019
Bu tabloya baktığımızda, geçici olmayıp da meslek olarak müteahhitlik yapanların ülkemizde 308 bin 372 kişi olduğunu görüyoruz. Müteahhitlerin lokomotifi olduğu inşaat sektörünün sağladığı istihdamın büyüklüğünü görecek olursak;
2014-2019 Yılları Arasında İnşaat Sektöründe İstihdam

* 2019 Yılı Ocak, Şubat, Mart ve Nisan aylarının verilerinden oluşmaktadır.
Hazırlayan: Sosyolog Faruk Özcan Kaynak: TÜİK İşgücü İstatistikleri için bkz. http://www.tuik.gov.tr/PreTablo.do?alt_id=1007 Erişim Tarihi: 21.07.2019
İnşaat sektörünün 2 milyon seviyelerine ulaşan istihdamı, 2018 Ağustos ayında gelişen döviz artışı, mevduat ve konut kredi faizlerinin artması sonrasında 2019 yılında önemli oranda daralmıştır.
Ancak maalesef inşaat sektöründeki istihdam daralmasının arka planında, büyük bir satış daralmasının olduğunu ve bunu da konut kredi faizlerinin yüksekliği nedeniyle ipotekli satışların düşmesiyle tetiklendiği görülmektedir:

Hazırlayan: Sosyolog Faruk Özcan Kaynak: TÜİK Konut Satış İstatistikleri için bkz. http://www.tuik.gov.tr/PreTablo.do?alt_id=1056 Erişim Tarihi: 21.07.2019

Hazırlayan: Sosyolog Faruk Özcan Kaynak: TÜİK Konut Satış İstatistikleri için bkz. http://www.tuik.gov.tr/PreTablo.do?alt_id=1056 Erişim Tarihi: 21.07.2019
2018 ve 2019 ilk yarılarını konut satışları bakımından karşılaştırdığımızda, düşük konut kredisi kaldıracını kaybeden ilk satışların, yeni(den bir) kaldıraca kavuşuncaya kadar düşüş eğilimini sürdüreceği görülüyor. Düşük konut kredisi kaldıracının geri gelip gelemeyeceği konusunda, 25.07.2019 tarihinde gerçekleşecek olan Merkez Bankası Para Politikası toplantısındansa beklenti büyük.
Satışların düştüğü inşaat sektöründe bir diğer sıkıntı kaynağı da, maliyetlerde aşağıda gördüğümüz büyük artıştır:
İnşaat maliyet endeksi ve değişim oranı, 2015-2019 [2015=100]

Kaynak: TUİK, http://www.tuik.gov.tr/PreHaberBultenleri.do?id=30814 Erişim Tarihi: 22.07.2019
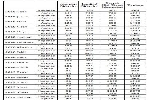
Görüldüğü üzere maliyetlerin artıp fiyatların arttırılamadığı, satışlarınsa azaldığı, dolayısıyla satılanın aynı fiyata yenisinin yerine konamadığı inşaat sektörü için sırat köprüsü gibi bir dönemden geçiyoruz... Maalesef ki, inşaat sektörünün bu sırat köprüsünden geçemeyenleri de olmaktadır. Kapanan inşaat firmalarına bakacak olursak:
İkamet Amaçlı Olan veya İkamet Amaçlı Olmayan Bina İnşaatı Yapmak İçin 2018 Ve 2019 Yıllarında Açılan ve Kapanan Firmalar

* Anonim ve limitet şirketler ile gerçek kişi ticari işletmeleri incelemeye tabi tutulmuştur. Hazırlayan: Sosyolog Faruk Özcan Kaynak: Türkiye Odalar Ve Borsalar Birliği, Kurulan Ve Kapanan Şirket İstatistikleri, 2018-2019 için bkz. https://www.tobb.org.tr/BilgiErisimMudurlugu/Sayfalar/KurulanKapananSirketistatistikleri.php Erişim Tarihi: 21.07.2019
Müteahhitlerin satışlarındaki düşüş ve maliyetlerindeki artışın domino etkisi göstermesi kaçınılmaz olan inşaata üretim yapan sanayiciler de, inşaat sektöründeki bu kartopu gibi büyüyen sorundan nasibini almaktadır:
İnşaat Sanayi Üretiminde Değişim (Bir önceki yılın aynı ayına ve dönemine göre – yüzde)

Kaynak: Türkiye İMSAD aylık sektör raporu (2019 Ocak, Şubat, Mart, Nisan)
Öyle ki, ülkemizin taşıyıcı sektörlerinden inşaat sektörünün arkasındaki güç olan inşaat sanayicilerinin üretimleri de son iki yıldır daralıyor.
Şimdilerde satışları düşen-maliyetleri artan, dolayısıyla kapanan firmaları artan ve istihdamı da azalan inşaat sektörü, 25.07.2019 tarihinde gerçekleşecek olan Merkez Bankası Para Politikası toplantısında faizlerin düşürülmesi müjdesini beklemektedir. Yoksa inşaat sektöründe müteahhitlerinden inşaat sanayicilerine, mimar-mühendislerinden mavi yakalı işçilere kadar bir işsizlik dalgası riski bulunmaktadır.
Tam da burada, inşaat sektörünün uzun yıllardır milli ekonomimizin dinamosu görevini görmüş olması eleştirilebilir tabi, ancak Batılı birçok ülkenin 100-150 yıl önce çözdüğü sanayileşme ve şehirleşmeyi ülkemizde henüz çözememiş olmamızın sıkıntılarını halen yaşamaktayız. 1950’ye kadar soydaşlarımızın anavatana göçtüğü, 1950 sonrasında da iç göçle birçoğumuzun doğduğumuz topraklardan ayrı düştüğü bir şehirleşememe sorununu maalesef ki çözememiş durumdayız. Bu durulmamış kentsel yapımız ve halkımızın ahirette iman dünyada mekan şeklinde özetlediği ev sahibi olma özlemi de, inşaat sektörünün de ister istemez hareketli olmasına sebep olmaktadır.
Ancak geldiğimiz noktada, inşaat sektörünün özellikle konut kredi faizlerindeki yükseklik nedeniyle bir satış krizine girmiş olması fırsat bilinerek, sektörün örneğin bilgi toplumunun gerektirdiği teknolojilerde ülkemizi geliştirmek için vazgeçilebilir olduğu şeklinde konunun toplumsal ve ekonomik arka planını yoksayan kestirmeci görüşler dile getirilebilmektedir. Halbuki inşaat sektörünün sağladığı aynı istihdamı, aynı vergi gelirlerini, 250 alt sektörü ayakta tutacak bir başka sektör oluşturmadan eldekinin hırpalanması, en kibar ifadeyle dimyatta pirince giderken eldeki bulgurdan olmakla sonuçlanır. İşin kötüsü, bu yanlışın ceremesini de, bu yanlışı yapanlar değil, inşaat sektöründen ekmeğini kazanırken 2018 yılından 2019’a geçerken işini kaybeden 500.000 kişi gibi masumlar çeker.
Velev ki, inşaat sektörü gibi 250 alt sektörü ayakta tutabilecek, 2 milyon istihdam sağlayabilecek bir ya da çok daha fazla sektör oluşturulabilse bile, ki umarım hızla oluşturulur, bu inşaat sektörüne hakettiği önemi vermemeyi açıklamaz. Neden çoklu değil de, illaki tekli düşünüyoruz? Milli ekonomimizin sadece bir tane dinamosu olsun, o da sadece inşaat sektörü olsun diyen tek bir inşaat temsilcisi mi var? Veyahut da örneğin bilgi toplumunun gerektirdiği teknolojilerde ülkemizi geliştirmeyelim diyen tek bir inşaat temsilcisi mi var? Kesinlikle yok! Bilgi toplumunun gerektirdiği teknolojilerde ülkemizi geliştirmeye yöneleceksek bile bunu, nolur Mao dönemi Çin’de ülkenin o dönemki tarımsal yapısını yok sayarak uygulamaya konulan ağır sanayileşme hamlesinin faciayla sonuçlanması gibi yapmayalım. Ülkemiz inşaat sektörünün gücünü muhafaza ederek, bilgi toplumunun gerektirdiği teknolojilerde ülkemizi geliştirmeye çalışalım. Söylediğimiz illa sadece birini seçmemiz gerekmediğidir. İkisini de yapalım.
Öncelikle bir denge durumuna ihtiyacımız var, bunun için de, “ne bir kişinin, ne bir kurumun, ne de bir sektörün çıkarı aziz milletimizin çıkarından kıymetli değildir” ve “hiçbir sektörün bir başka sektörün gelişimine engel olamaya hakkı yoktur” düsturlarından yola çıkabiliriz. Bu çerçevede, ne inşaat sektörünün ne başka bir sektörün çıkarı aziz milletimizin çıkarından daha kıymetli değildir, ne de inşaat sektörünün başka bir sektörün gelişimine engel olamaya hakkı yoktur. Tabi tersi de doğrudur.
Sözün özü, meyve veren ağacı budayarak, hatta fırsatını bulsa keserek yeni bir ağaç elde edebilen yoktur, olsa olsa çok pişman olup başını duvara vuran biri olur. Yeni bir ağaç yetiştirmek isteyen, yeni bir fidan diker, eski ağaca da o fidana da bakar-sular. Doğrusu da budur.
Sosyolog Faruk Özcan
Bursa/2019 Mart
Türk müteahhitler yurt dışında 5,1 milyar dolarlık proje üstlendi!