ÖİB'den 8 ilde satılık 46 gayrimenkul!
Başbakanlık Özelleştirme İdaresi Başkanlığı 8 ildeki satılık 46 gayrimenkulü satış yöntemi ile özelleştiriliyor..
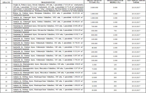
Başbakanlık Özelleştirme İdaresi Başkanlığı tarafından, Muğla, Edirne, Antalya, Gaziantep, Şanlıurfa, Amasya, Ankara ve Niğde'de yer alan 46 gayrimenkul satış yöntemi ile özelleştiriliyor. İhaleler için son teklif verme günü 20-27 Ekim 2017 tarihleri arasında yapılıyor.
MUHTELİF TAŞINMAZLAR SATIŞ YÖNTEMİ İLE ÖZELLEŞTİRİLECEKTİR
Başbakanlık Özelleştirme İdaresi Başkanlığından:
Özelleştirme kapsam ve programında bulunan muhtelif taşınmazlar, Başbakanlık Özelleştirme İdaresi Başkanlığı (İdare) tarafından 4046 sayılı Kanun hükümleri çerçevesinde “Satış” yöntemi ile özelleştirilecektir.



1 - İhaleler, kapalı zarf içerisinde teklif almak ve görüşmeler yapmak suretiyle “pazarlık usulü” ile gerçekleştirilecektir. İhale Komisyonu’nca gerekli görüldüğü takdirde ihaleler, pazarlık görüşmesine devam edilen teklif sahiplerinin katılımı ile yapılacak açık artırma suretiyle sonuçlandırılabilir.
2 - Katılımcılar ayrı ayrı olmak koşuluyla, birden fazla ihaleye teklif verebilirler.
3 - İhalelere gerçek veya tüzel kişiler ile ortak girişim grupları katılabilirler. Teklif Sahiplerinden ihalelere katılabilmek için yukarıdaki tabloda belirtilen tutarda geçici teminat alınacaktır.
4 - İhalelere katılabilmek için her bir taşınmaz için ayrı İhale Şartnamesi alınması ve tekliflerin İdare’nin; Ziya Gökalp Caddesi No: 80 Kurtuluş/ANKARA adresine son teklif verme günü saat 17.00’ye kadar elden teslim edilmesi zorunludur. Son teklif verme tarih ve saatinden sonra İdare’ye verilecek teklifler değerlendirmeye alınmayacaktır. İhale Şartnamesi ve Tanıtım Dokümanı için alınan bedel her ne surette olursa olsun iade edilmez.
5 - İhalelere konu taşınmazlar hakkında hazırlanan İhale Şartnamesi ve Tanıtım Dokümanı bedelleri İdare’nin;
- T. Halk Bankası A.Ş. Kurumsal Şubesi/ANKARA nezdinde bulunan TR**********************06 numaralı Özelleştirme Fonu Vadesiz Satış ve Temettü Gelirleri Türk Lirası,
- T.C. Ziraat Bankası A.Ş. Kamu Kurumsal Şubesi/ANKARA nezdinde bulunan TR**********************38 numaralı Özelleştirme Fonu Vadesiz Türk Lirası,
- T.Vakıflar Bankası T.A.O. Merkez Şubesi/ANKARA nezdinde bulunan TR**********************67 numaralı Özelleştirme Fonu Vadesiz Türk Lirası
hesaplarından birine yatırılacaktır. Dekontta, katılımcının ismi (katılımcının Ortak Girişim Grubu (OGG) olması halinde OGG’nin veya üyelerinden birinin adına düzenlenmiş olması yeterlidir) ile hangi ihaleye ilişkin ihale şartnamesi alınacağı belirtilecektir.
6 - İhaleler, 2886 sayılı Devlet İhale Kanunu’na tabi olmayıp İdare, ihaleleri yapıp yapmamakta, dilediğine yapmakta serbesttir.
7 - İdare, son teklif verme tarihini belirli bir tarihe kadar veya bilahare belirlenecek bir tarihe kadar uzatmakta serbesttir. Bu husus son teklif verme tarihinin sona ermesinden önce duyurulacaktır.
8 - İhalelerle ilgili diğer hususlar İhale Şartnamelerinde yer almaktadır.
9 - Özelleştirme işlemleri; her türlü resim, vergi, harç ve KDV’den muaftır.