SGK'dan 17 ilde büyük gayrimenkul satışı!
Sosyal Güvenlik Kurumu (SGK) içinde İstanbul ve Ankara'nın da yer aldığı 17 ildeki gayrimenkullerini ihaleyle satışa çıkaracağını duyurdu.
Sosyal Güvenlik Kurumu (SGK) Resmi Gazete'de yapılan duyuruda, 17 ilde ihaleyle gayrimenkul satacağını açıkladı.
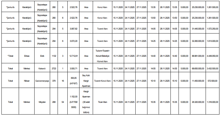
Sosyal Güvenlik Kurumu (SGK); İstanbul, İzmir, Ankara, Antalya, Kocaeli, Sakarya, Adıyaman, Afyonkarahisar, Bolu, Çanakkale, Erzurum, Kahramanmaraş, Kayseri, Ordu, Samsun, Şanlıurfa, Tokat olmak üzere toplam 17 ilde ihaleyle gayrimenkul satacağını duyurdu.
Mülkiyeti SGK'ya ait olangayrimenkullerin, Sosyal Güvenlik Kurumu Taşınmazlarının Elektronik
Ortamda Yapılacak Satışlarına İlişkin Yönetmelik maddelerine göre Kurum internet sitesinde yer alan Elektronik Satış Portalı üzerinden açık artırma usulü ile 17-28.11.2025 tarihleri arasında satış ihalesi yapılacak.
İşte ayrıntıları;










