Şile Belediyesi'nden satılık 60 gayrimenkul!
İstanbul ili Şile Belediyesi tarafından, İstanbul ili, Şile ilçesi, Balibey Mahallesi'nde bulunan 60 gayrimenkul satışa çıkarıldı.
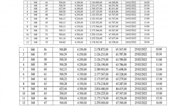
İstanbul ili Şile Belediyesi tarafından, İstanbul ili, Şile ilçesi, Balibey Mahallesi'nde bulunan 60 gayrimenkul satışa çıkarıldı. Taşınmazların satış ihalesi 21 Şubat tarihinde saat 10:00'da gerçekleştirilecek.
TAŞINMAZ SATILACAKTIR
İstanbul İli Şile Belediye Başkanlığından:
Mülkiyeti Belediyemize ait Balibey Mahallesinde kain aşağıda belirtilen taşınmazlar ihale ile satılacaktır. İhaleler "Balibey Mahallesi Çırak Sokak No:1 Şile/İstanbul" adresindeki Şile Belediye Başkanlığı Fen İşleri Müdürlüğü Hizmet Binası Salonunda, aşağıda belirtilen gün ve saatte, 2886 sayılı Devlet İhale Kanununun 36. maddesi ve şartmane uyarında "Kapalı Teklif Usulü" ile yapılacaktır.
Şartname bedeli 1.000,00 TL olup, şartnameler Şile Belediyesi Plan ve Proke Müdürlüğünden (Hacıkasım Mahallesi Üsküdar Caddesi Tersane Sokak No:9 Şie/İstanbul) teslim edilebilir.


2- İdare, ihale gününe kadar, ilan edilen taşınmazın ihalesinden vazgeçme hak ve yetkisine sahiptir.
3- İhaleye katılacaklardan istenilecek belgeler:
A) Gerçek Kişilerden
1- İkametgah belgesi,
2- Nüfus cüzdan sureti,
3- Noter tasdikli imza beyannamesi,
4- Geçici teminat mektubu,
5- Temsil durumunda Noter tasdikli vekaletname ve vekalet edene ait imza beyannamesi,
6- Ortak girişim olması halinde Noter tasdikli Ortak Girişim Beyannamesi,
7- Belediyeye herhangi bir borcu olmadığına dair Mali Hizmetler Müdürlüğünden alınmış belge.

B) Tüzel Kişilerden
1- Tüzel kişinin siciline kayırlı buluduğu idareden (Dernekler Müdürlüğünden, Ticaret veya Sanayi Odasından, Ticaret Sicaret Müdürlüğünden, İdare merkezinin bulunduğu yer mahkemesinden veya ilgili makamdan) ihalenin yapıldığı yıl içinde aylınmış tüzel kişinin siciline kayıtlı olduğuna dair belge,
2- Noter tasdikli imza sirküdü (Dernekler için ihaleye katılmak üzere yetkilendirdiği kişiyi belirten karar defterinin ilgili sayfasının noter tasdikli sureti veya yetkilinin Noter tasdikli imza beyannamesi)
3- Geçici teminat mektubu veya makbuzu, şartname bedeli makbuzu
4- Temsil durumunda Noter tasdikli vekaletname ve vekalet edene ait imza beyannamesi,
5- Ortak girişim olması halinde Noter tasdikli Ortak Girişim Beyannamesi,
6- Belediyeye herhangi bir burcu olmadığına dair Mali Hizmetler Müdürlüğünden (Belediye Veznesi) alınmış belge
C) Ortak Girişimlerin
Ortak girişimi oluşturan gerçek veya tüzel kişilerin her biri için bu maddedeki (A) veya (B) bentlerinde belirtilen belgeler istenecektir.