Türk Hava Kurumu'ndan 44 adet satılık gayrimenkul!
Türk Hava Kurumu Genel Başkanlığı, Antalya, Burdur, Çanakkale, Çorum, Denizli, Edirne, Erzurum, İzmir, Kırklareli, Kocaeli, Muğla, Niğde, Tekirdağ, Aksaray ve Yalova'da yer alan gayrimenkulleri satışa çıkardı.
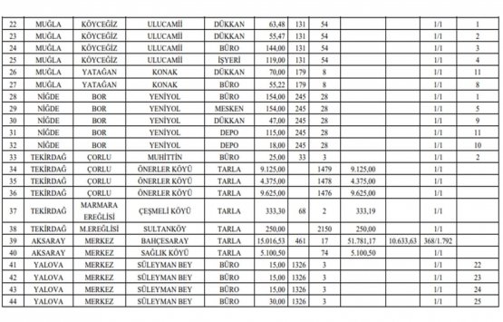
Türk Hava Kurumu Genel Başkanlığı, Antalya, Burdur, Çanakkale, Çorum, Denizli, Edirne, Erzurum, İzmir, Kırklareli, Kocaeli, Muğla, Niğde, Tekirdağ, Aksaray ve Yalova'da yer alan 44 adet gayrimenkulü satışa çıkardı.
44 ADET TAŞINMAZ SATILACAKTIR
Türk Hava Kurumu Genel Başkanlığından:
1-Mülkiyeti Türk Hava Kurumu Genel Başkanlığı'na Ait Altta Yazılı 44 Adet Taşınmazın Satışı 18 Ağustos 2021 Çarşamba Günü Açık Artırma Usulü
ile İhale Edilecektir.


2-İstekliler, tekliflerini sistemde belirtilen süre sona ermeden, www.winvestate.com internet adresindeki e-Teklif Sistemi üzerinden vereceklerdir.

3-İstekliler, bu işe ait şartnameyi, www.winvestate.com internet adresinden e-Şartname olarak temin edebilirler.
4-Türk Hava Kurumu Genel Başkanlığı, 4734 sayılı Kamu İhale Kanunu’na tabi olmayıp, taşınmazın e-Teklif Sistemi ile satışını yapıp yapmamakta
veya dilediği biçimde yapmakta serbesttir.