Yatırımcılar dikkat! Gaziantep ve Bursa'daki 44 arsa-arazi satışa çıktı!
Gaziantep ve Bursa'da yer alan 44 adet arsa ile arazi için satış ihalesi düzenleniyor. Gayrimenkullerin satış ihaleleri 10 Temmuz ve 17 Temmuz'da yapılacak.
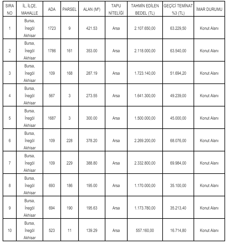
Gaziantep ve Bursa'da yer alan 44 adet arsa ile arazi satışa çıkarıldı. Bursa'da yer alan arsa ve arazilerin satış bedelleri 557 bin 160 TL ile 19 milyon 7 bin 400 TL arasında değişirken, geçici teminat bedelleri de 156 bin 714 TL ile 570 bin 222 TL arasında değişiyor.
Gaziantep'te yer alan arsaların satış bedelleri ise 28 milyon 399 bin 560 TL ile 33 milyon 70 bin 170 TL arasında değişirken, geçici teminat bedelleri de 851 bin 986 TL ile 992 bin 105 TL arasında değişiyor.
Gayrimenkullerin satış ihaleleri 10 Temmuz ve 17 Temmuz'da gerçekleştirilecek.
TAŞINMAZLAR SATILACAKTIR
Bursa İli İnegöl Belediye Başkanlığından:
Belediyemiz mülkiyetinde bulunan ve aşağıdaki tabloda tapu bilgileri, toplam tahmin
edilen bedelleri ve geçici teminat bilgileri belirtilen taşınmazların Belediye Encümenince 1 ila 20
(20 dahil) sıra numaralı taşınmazlar için 17.07.2024(Çarşamba) tarihinde, saat 10:00’da, 21 ila 41
sıra numaralı taşınmazlar için 18.07.2024(Perşembe) tarihinde, saat 10:00’da, İnegöl Belediyesi
Meclis Salonunda (Kemalpaşa Mahallesi Adnan Menderes Bulvarı No:1/A İnegöl/BURSA) 2886
sayılı Devlet İhale Kanunu’nun 35/a maddesince kapalı teklif usulü ile satışı yapılacaktır.
1- İdarenin ;
a) Adresi : İnegöl Belediye Başkanlığı- Kemalpaşa Mahallesi Adnan
Menderes Bulvarı No:1/A – BURSA/İnegöl
b) Telefon ve Faks : 0-224 715 10 10 - Faks: 0-224 713 75 26
c) E-posta Adresi : [email protected]
2- Satışa Konu Taşınmazların;
Tapu Bilgileri, Tahmin Edilen Bedel ve Geçici Teminat Bilgileri.



İhale ile satışa sunulan taşınmazın İnegöl Belediyesi mülkiyetinde olması nedeniyle
Katma Değer Vergisi’ne tabi değildir.
3- İhaleye Katılabilme Şartları;
İhaleye katılabilmek için istenen belgeler;
3.1. Gerçek Kişiler
3.1.1) İkametgâh belgesi,
3.1.2) Nüfus cüzdan sureti,
3.1.3) Geçici teminat makbuzu,
3.1.4) Temsil durumunda; noter tasdikli vekaletname ve vekalet edene ait imza
beyannamesi,
3.1.5) Tebligat için adres beyanı, ayrıca irtibat için telefon numarası, ve varsa faks
numarası ve elektronik posta adresi.(Bu döküman ikametgah belgesinden ayrı olarak sunulması
gerekmektedir.)
3.1.6) Belediyemize vadesi geçmiş borcu olmadığına dair belge (Belediyemizden
alınacaktır),
3.1.7) İhaleye ait dosyanın alındığına dair makbuz,
3.2. Tüzel Kişiler
3.2.1) Tebligat için yasal adres bildirimi
3.2.2) Noter tasdikli imza sirküsü
3.2.3) Geçici teminat makbuzu veya mektubu. Banka teminat mektubu verilmesi halinde,
teminat mektubu süresiz ve teminat mektubunun aslı olacaktır.
3.2.4) Belediyemize vadesi geçmiş borcu olmadığına dair belge (Belediyemizden
alınacaktır),
3.2.5) İhaleye ait dosyanın alındığına dair makbuz,
3.2.6) Tüzel kişiliği belirten son durumu gösterir Ticaret Sicil Gazetesi veya bu hususları
tevsik eden belgeler ile tüzel kişiliğin noter tasdikli imza sirküleri
3.2.7) Şirket (Tüzel kişilik) hissedarı olmayanların, Tüzel kişilik adına vekaleten ihaleye
katılacak veya teklifte bulunacak kişilerin, tüzel kişiliği temsile yetkili olduklarını gösterir
noterlikçe tasdik edilmiş vekaletname ile vekalet eden kişinin kimlik fotokopisi.
3.3. Ortak Girişim Olması Halinde
3.3.1) Ortaklığı oluşturan her bir ortak için, gerçek kişi ise bu ilanın (3.1) bendinde
belirtilen belgelerin, tüzel kişilik ise bu ilanın (3.2) bendinde belirtilen belgelerin yanı sıra aşağıda
belirtilen belgelerin dosyasında bulunması gerekmektedir.
3.3.2) 2024 yılı içinde alınmış ortakların hisselerini ve pilot ortağı gösterir, noter tasdikli
ortaklık sözleşmesinin aslı.
4- Geçici Teminat Bedeli yatırmış olmak.
5- İhale dokümanı İnegöl Belediye Başkanlığı Destek Hizmetleri Müdürlüğü İhale
Servisinden temin edilecektir. Her bir ihale için ayrı olarak temin edilecek ihale dokümanı bedeli
1000 TL’dir. İhaleye teklif verecek olanların, ihale dokümanı satın almaları zorunludur.
6- İhaleye katılmak isteyenler 17.07.2024 tarihi saat 09:00’a kadar ihaleyle ilgili istenen
belgeleri İnegöl Belediye Başkanlığı- Kemalpaşa Mahallesi Adnan Menderes Bulvarı No:1/A –
BURSA/İnegöl adresinde bulunan Destek Hizmetleri Müdürlüğü İhale Servisine teslim etmesi
veya iadeli taahhütlü posta vasıtasıyla göndermesi gerekmektedir. Posta ile gönderilecek
tekliflerde, teklif edilen değer ihaleye iştirak edenin son teklifi olarak değerlendirilecektir.
Postadaki gecikmeler dikkate alınmayacaktır.
7- İhale komisyonu ihaleyi yapıp yapmamakta serbesttir. Komisyonların ihaleyi yapmama
kararına itiraz edilemez.

TAŞINMAZLAR SATILACAKTIR
Gaziantep Büyükşehir Belediye Başkanlığından:
1- İHALENİN KONUSU:
Şehitkamil İlçesi, Özgürlük Mahallesinde bulunan, aşağıda ada, parsel numarası, tapu
alanı, imar durumu, m² rayiç bedeli, muhammen bedeli ve geçici teminat tutarı belirtilen
taşınmazların satışı işidir.

2- İHALENİN YAPILIŞ ŞEKLİ:
2886 Sayılı Devlet İhale Kanunu’nun 35/a maddesine göre Kapalı Teklif Usulü artırma
suretiyle ayrı ayrı yapılacaktır.
3- İHALE ŞARTNAMESİNİN TEMİNİ VE BEDELİ:
İhaleye iştirak edecek gerçek ve tüzel kişiler ihaleye ait şartnameyi, Gaziantep Büyükşehir
Belediyesinin web adresinden (https://www.gaziantep.bel.tr/tr/ihaleler) temin edeceklerdir. Çıktısı
alınan şartname, ihaleye teklif vermeye yetkili kişi tarafından imzalanarak ihale dosyasına
konulacaktır.
İhale şartname bedeli 500,00.-TL olup, bu bedel Belediyemiz veznesine veya
Belediyemizin aşağıda iban numarası belirtilen hesabına yatırılabilecektir.
4- GEÇİCİ TEMİNATA İLİŞKİN ESASLAR:
İhaleye girecek gerçek veya tüzel kişiler, istekli oldukları taşınmazla ilgili geçici teminatı,
Türkiye Vakıflar Bankası TR63 0001 5001 5800 7325 3734 30 iban nolu Belediyemiz banka
hesabına yatırabileceği gibi bankalar veya özel finans kurumlarından alacakları, süresiz banka
teminat mektubu da sunabilirler.
5- İHALENİN SAATİ, YERİ VE EVRAKLARIN TESLİM SÜRESİ:
Söz konusu yerlerin ihalesi 10.07.2024 Çarşamba günü, saat 15:00 ‘da Gaziantep
Büyükşehir Belediyesi Encümen Toplantı Salonunda İhale Komisyonunca (Encümence)
yapılacaktır.
İhaleye iştirak edeceklerin, aşağıda istenilen belgelerle birlikte İhale İşleri Şube
Müdürlüğüne 10.07.2024 Çarşamba günü, saat 12.00 ‘a kadar sıra alındılar karşılığında vermeleri
ya da taahhütlü olarak posta ile göndermeleri gerekmektedir. Postadaki gecikmeler nedeniyle
süresinde Komisyon Başkanlığına ulaşmayan teklifler değerlendirmeye alınmayacaktır.
6- İSTENİLEN BELGELER:
Teklifler aşağıdaki bilgi ve belgeleri içerecek şekilde hazırlanacaktır.
- A. İÇ ZARF
Teklif mektubundan oluşur. Teklif Mektubu, ihaleye iştirak edecek gerçek ve tüzel
kişilerce veya kanuni vekillerince imzalanacak ve bu teklifte şartname ve eklerinin aynen kabul
edildiği belirtilecektir. Teklifler hem rakamla hem de yazıyla açık olarak yazılacaktır. Bunlardan
herhangi birine uygun olmayan veya üzerinde kazıntı, silinti ve düzeltme bulunan teklifler
reddedilecektir.
Teklif mektubu bir zarf (iç zarf) içerisine konulup kapatıldıktan sonra zarf üzerine
isteklinin adı, soyadı ve tebligata esas olan açık adresi yazılacaktır. Zarfın yapıştırılan yeri istekli
tarafından imzalanacak ve mühürlenecektir.
- B. DIŞ ZARF
Dış zarf aşağıdaki bilgi ve belgeleri içerir,
a) Teklif mektubunu içeren iç zarf,
b) Gerçek kişiler için Türkiye’de kanuni ikametgâhı olduğuna dair belge (Nüfus
Müdürlüğü’nden veya e-Devlet ‘ten temin edilecek),
c) Tebligat için Türkiye sınırları içerisinde adres göstermesi ve telefon numarası
bildirmesi,
ç) Tüzel kişiliğin Ticaret ve/veya Sanayi Odasına kayıtlı olduğunu gösterir belge (İhale
tarihinin olduğu yıla ait olacak)
d) Tüzel kişi olması halinde, ilgisine göre tüzel kişiliğin ortakları, üyeleri veya kurucuları
ile tüzel kişiliğin yönetimindeki görevlileri belirten son durumu gösterir Ticaret Sicil Gazetesi,
e) Teklif vermeye yetkili olduğunu gösteren imza beyannamesi veya imza sirküleri,
f) Vekaleten ihaleye katılan kişinin, istekli adına ihaleye katılabileceğine ilişkin noter
tasdikli vekaletname ile imza sirküsü,
g) İstekli tarafından her sayfası imzalanmış şartname ve sözleşme tasarısı,
ğ) Şartnamenin satın alındığına dair makbuzun aslı,
h) Şartnamede belirtilen geçici teminatın ödendiğine dair makbuz veya limit dahili banka
teminat mektubu,
ı) Belediyemize borcu olmadığına dair belge (İhale ilan tarihinden sonra alınmış)
- C) DIŞ ZARFIN KAPATILMASI
Yukarıda belirtilen belgeler ve iç zarf bir zarfa konarak kapatılacaktır. Bu zarfın üzerine
isteklinin adı-soyadı ve açık adresi ve teklifi ne ile ilgili olduğu yazılarak kapatılacaktır. İç zarfta
olduğu gibi dış zarfında yapıştırılan yerinin mühürlenip imzalanması gerekmektedir.
İhaleye iştirak edeceklere duyurulur.
İBB, Sefaköy-Beylikdüzü-TÜYAP Metrosu'nun yapımı için 5. kez Cumhurbaşkanlığı'na başvurdu!
Doların 50 TL olacağı tarih açıklandı! Selçuk Geçer son dakika dolar yorumu!
Power İnşaat Cadde Çerkezköy projesi resmen başlıyor! 819 milyon TL'lik karma proje geliyor!