25 / 12 / 2025

YDA İnşaat'ın 11. kupon faiz oranı yüzde 2,8975!

YDA İnşaat'ın 11. kupon faiz oranı yüzde 2,8975!

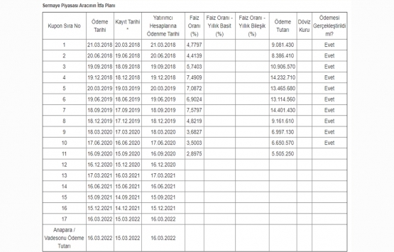
YDA İnşaat tarafından ihraç edilen TRSYDAT32212 ISIN kodlu özel sektör tahviline ilişkin 10.kupon ödeme işlemi bugün gerçekleşti, ödeme tutarları ilgili üyelerin Takasbank A.Ş. nezdindeki serbest hesaplarına aktarıldı. 11. kupon faiz oranı yüzde 2,8975 olarak kesinleşti.


1.2 milyon TL'ye 190 metrekare net tarla! 600.000 TL peşin! 50.000 taksitle! Son 7 parsel!.


YDA İnşaat Sanayi ve Ticaret A.Ş., Kamuyu Aydınlatma Platformu'nda (KAP) TRSYDAT32212 ISIN kodlu tahvil 10. kupon ödemesi ve 11. kupon faiz oranı hakkında açıklama yaptı. 

YDA İnşaat Sanayi ve Ticaret A.Ş. tarafından ihraç edilen TRSYDAT32212 ISIN kodlu özel sektör tahviline ilişkin 10.kupon ödeme işlemi bugün gerçekleşti, ödeme tutarları ilgili üyelerin Takasbank A.Ş. nezdindeki serbest hesaplarına aktarıldı. 11. kupon faiz oranı yüzde 2,8975 olarak kesinleşti.

YDA İnşaat'ın KAP açıklaması:
YDA İnşaat Sanayi ve Ticaret A.Ş. tarafından ihraç edilen TRSYDAT32212 ISIN kodlu özel sektör tahviline ilişkin 10.kupon ödeme işlemi 17.06.2020 tarihinde gerçekleştirilmiş olup, ödeme tutarları ilgili üyelerin Takasbank A.Ş. nezdindeki serbest hesaplarına aktarılmıştır. 11. kupon faiz oranı %2,8975 olarak kesinleşmiştir. Kamuoyuna ve değerli yatırımcılarımızın bilgilerine sunulur.

YDA İnşaat ın 11. kupon faiz oranı yüzde 2,8975! 

Saygılarımızla...
 


Geri Dön