Ankara Büyükşehir'den 610.9 milyon TL'ye satılık 30 gayrimenkul!
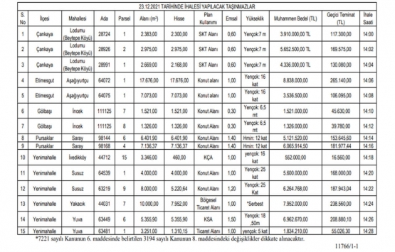
Ankara Büyükşehir Belediye Başkanlığı, Ankara Çankaya, Etimesgut, Gölbaşı, Mamak, Pursaklar, Sincan, Yenimahalle'de yer alan 30 adet gayrimenkulü 610 milyon 933 bin 881 TL bedelle satışa çıkardı.
Ankara Büyükşehir Belediye Başkanlığı, Ankara Çankaya, Etimesgut, Gölbaşı, Mamak, Pursaklar, Sincan, Yenimahalle'de yer alan 30 adet gayrimenkulü satışa çıkardı. Gayrimenkullerin toplam satış bedeli 610 milyon 933 bin 881 TL olarak belirlendi.
TAŞINMAZLAR SATILACAKTIR
Ankara Büyükşehir Belediye Başkanlığından:
Mülkiyeti Belediyemize ait ve mülkiyeti Maliye Hazinesine ait / Maliye Hazinesinin hissedar olduğu, satış yetkisi Belediyemize ait aşağıdaki listede ilçesi, mahallesi, ada/parsel numarası, muhammen bedeli, geçici teminatı yazılı taşınmazların, 2886 sayılı Kanunun 36. maddesi gereğince Kapalı Zarf usulü ile satış bedeli, ihale karar pulu, sözleşme karar pulu, ilan giderleri ve diğer giderleri peşin ödenmesi şartıyla ayrı ayrı mülkiyet satışı yapılacaktır.

1-İhale aşağıda belirtilen tarihte Hipodrom Caddesi No:5’deki Belediye Hizmet binasının B-Blok 1.Katında bulunan ENCÜMEN salonunda toplanacak Belediye ENCÜMENİ' nce yapılacaktır.
2-İhale suretiyle satışı yapılacak taşınmazın satış şartnamesi, en geç ihale günü Saat 11.00’a kadar Hipodrom Caddesi No: 5’deki Belediye Hizmet binasının 14.katında bulunan EMLAK ve İSTİMLÂK DAİRESİ BAŞKANLIĞI Taşınmazlar Şube Müdürlüğünde görülebilir ve alınabilir.
3-İstekliler, Şartnamenin 2. maddesinde yazılı ‘‘İhaleye girebilmek için isteklilerde aranan şartları’’ sağlamak zorundadır. Şartnameye uygun olmayan veya içinde şartname hükümleri dışında şartlar ihtiva eden teklifler geçersiz sayılacaktır. Buna göre isteklilerde aranacak bilgi ve belgeler;
a-Kimlik/Yetki/Faaliyet/Temsil Belgeleri
b-İkametgâh Belgesi
c-Teklif Mektubu
d-Taşınmaz Mal Satış Şartnamesi
e-Yer Görme Belgesi
f-Şartname Alındı Makbuzu
g-Geçici Teminat Alındı Makbuzu veya 2886 sayılı Kanuna uygun Banka Teminat Mektubu.
4-İhaleye iştirak edecek olanlar KDV dahil 500 TL (beşyüzTürkLirası) karşılığında şartname almak zorundadırlar.
5-İhale için verilen teklif mektupları verildikten sonra geri alınamaz.

6-İhale için verilecek teklif mektubunda belirtilecek meblağ rakam ve yazı ile okunaklı bir şekilde (Silinti, kazıntı olmayacak) yazılacaktır.
7-Teklif mektuplarının en geç ihale günü, saat 12:00’a kadar ihalenin yapılacağı adreste bulunan ENCÜMEN Başkanlığına (7.katta bulunan Yazı işleri ve Kararlar Dairesi Başkanlığına) verilmesi şarttır. Bu saatten sonra verilecek teklif mektupları veya herhangi bir nedenle oluşacak gecikmeler dikkate alınmaz.
8-Satış şartnamesinde belirtilen hususlarla taşınmaza ait dosyasındaki bilgileri ve tapudaki takyidatları alıcı aynen kabul etmiş sayılır. İhalenin kesinleşmesinden sonra ihale uhdesinde kalanlar, satış şartnamesine aykırı bir talepte bulunamazlar.
9-Satıştan mütevellit bütün vergi, resmi harç, ilan giderleri, tapu harçları, alım satım giderleri gibi ödenmesi gereken her türlü giderler alıcıya ait olup, alıcı tarafından kanuni süresinde ödenecektir.
10-İhale Komisyonu (ENCÜMEN) gerekçesini karar içeriğinde belirtmek koşulu ile ihaleyi yapıp yapmamakta serbesttir. ENCÜMEN’ce uygun görülerek karara bağlanan ihale kararı ise; İta Amiri’nin Onay’ını takiben geçerlilik kazanacağı gibi, İta Amiri’nin ihaleyi onaylamaması halinde, iştirakçi idareye karşı herhangi bir hak iddiasında bulunamaz.
11-İş bu ihale ilanı genel bilgi mahiyetinde olup, satışta ihale şartnamesi hükümleri uygulanacaktır.
12-İhaleye iştirak edecek isteklilerin ihale salonu ile İdare binasının içinde ve çevresinde Covid-19 tedbirleri gereğince maske kullanmaları ve sosyal mesafe kurallarına uymaları gerekmektedir.

