Belediyeden büyük fırsat! 20 dükkan satıyor! Sakın kaçırmayın!
Ankara İli Şereflikoçhisar Belediye Başkanlığı, Ankara Şereflikoçhisar'da yer alan 20 adet dükkanı satışa çıkardı. İşte detaylar...
TAŞINMAZLAR SATILACAKTIR
Ankara İli Şereflikoçhisar Belediye Başkanlığından:
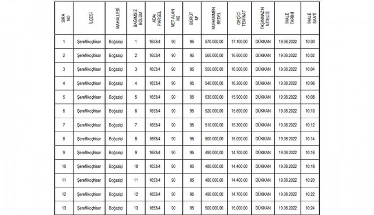
Ankara İli, Şereflikoçhisar İlçesi, Boğaziçi Mahallesinde yer alan aşağıda Ada/Parsel numarası, Alan metrekare, Muhammen bedeli, Geçici Teminat, Taşınmazın niteliği, İhale tarihi ve İhale saati yazılı taşınmazlar, 2886 sayılı Devlet İhale Kanunun 36. maddesi gereğince, Kapalı Zarf usulü ile taşınmaz satışı yapılacaktır.
1- İhale 19/08/2022 tarih Cuma günü saat 10:00’da başlayacak olup, İhale Uğur IŞILAK Kültür Merkezi Toplantı Salonunda Encümen huzurunda yapılacaktır.
2- İhale ile ilgili şartname ve diğer evraklar en geç ihale günü Saat 10.00’a kadar Belediyemiz Fen İşleri Müdürlüğünde mesai saatleri içinde görülebilir ve istekliler taşınmaz mal satış şartnamesini 250,00-TL (İkiYüzElliTürkLirası) ücret karşılığında satın alabilirler.


3-Şartnameye uygun olmayan veya içinde şartname hükümleri dışında şartlar ihtiva eden teklifler geçersiz sayılacaktır. Buna göre isteklilerde aranacak bilgi ve belgeler; Taşınmaz Mal Satış Şartnamesi (şartnamenin her sayfası ayrı ayrı ihaleye iştirak eden tarafından imzalanmak zorundadır.), şartname alındı makbuzu aslı, Geçici teminat makbuzu aslı / 2886 sayılı Kanuna uygun Geçici Teminat Mektubu (Teminat Mektubu ihale tarihinden itibaren en az 3 (Üç) ay süreli olmalı) veya 2886 sayılı Kanunun 26. Maddesinde geçen değerler ve teklif
mektubu ile birlikte;
a) İsteklilerin gerçek kişi olmaları halinde; nüfus kayıt örneği veya nüfus cüzdanı fotokopisi, ikametgah belgesi, Noter tasdikli imza beyannamesi, istekliyi şahıs temsil etmesi halinde “vekil” olduğunu gösterir noter tasdikli vekaletname,
b) İsteklilerin tüzel kişi olmaları halinde; İdare Merkezinin bulunduğu yer Mahkemesinden veya sicilin kayıtlı olduğu Ticaret Odasından ) ihalenin yapıldığı yıl içinde alınan faaliyet belgesi, ticaret sicil gazetesi, şirket yetkilisi imza sirküsü veya şirketin “vekili” olduğunu gösterir noter tasdikli vekaletname, temsil yetkisi ve temsilcinin noterden tasdikli imza sirküsü,
c) İsteklilerin dernek, federasyon, konfederasyon veya vakıf olması halinde; resmi, makamdan alınmış faaliyet belgesi, gayrimenkul alınması hususunda alınan noter onaylı Genel Kurul kararı, noter tasdikli temsilci yetkisi, temsilcinin noter tasdikli imza sirküsü.
d) Ortak girişim olması halinde Noter tasdikli ortak girişim beyannamesi,
e) Türkiye'nin veya kendi ülkesinin mevzuat hükümleri uyarınca kesinleşmiş sosyal güvenlik prim borcu olmadığına dair ilan tarihi itibari ile düzenlenmiş belge,f) Türkiye'nin veya kendi ülkesinin mevzuat hükümleri uyarınca kesinleşmiş vergi borcu olmadığına dair ilan tarihi itibari ile düzenlenmiş belge,
g) İhaleye katılanın veya vekilinin Şereflikoçhisar Belediye Başkanlığına borç ilişiği olmadığına dair yazı,
h) İkinci El Motorlu Kara Taşıtı Ticaretine yönelik iş yeri açma ruhsatı. Veya noter tasdikli sureti
4) Telgraf veya Faksla yapılacak müracaatlarda postada meydana gelebilecek gecikmeler kabul edilemez,
5) İhaleye iştirak edecek olanlar KDV dahil 250 TL (İkiYüzElliTürkLirası) karşılığında şartname almak zorundadırlar.
6) İhale için verilen teklif mektupları verildikten sonra geri alınamaz.
7) İhale için verilecek teklif mektubunda belirtilecek meblağ rakam ve yazı ile okunaklı bir şekilde (Silinti, kazıntı olmayacak) yazılacaktır.
8) Satış şartnamesinde belirtilen hususlarla taşınmaza ait dosyasındaki bilgileri ve tapudaki takyidatları alıcı aynen kabul etmiş sayılır. İhalenin kesinleşmesinden sonra ihale uhdesinde kalanlar, satış şartnamesine aykırı bir talepte bulunamazlar.
9) Satıştan mütevellit bütün vergi, resmi harç, tapu harçları, alım satım giderleri gibi ödenmesi gereken her türlü giderler alıcıya ait olup, alıcı tarafından kanuni süresinde ödenecektir.
10) İhale Komisyonu (ENCÜMEN) gerekçesini karar içeriğinde belirtmek koşulu ile ihaleyi yapıp yapmamakta serbesttir. ENCÜMEN’ce uygun görülerek karara bağlanan ihale kararı ise; İta Amiri’nin Onay’ını takiben geçerlilik kazanacağı gibi, İta Amiri’nin ihaleyi onaylamaması halinde, iştirakçi idareye karşı herhangi bir hak iddiasında bulunamaz.
11) İş bu ihale ilanı genel bilgi mahiyetinde olup, satışta ihale şartnamesi hükümleri
uygulanacaktır.