Denizli Milli Emlak'tan 13.3 milyon TL'ye satılık 78 lojman!
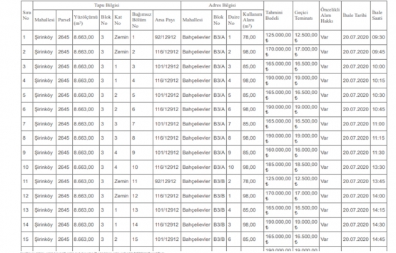
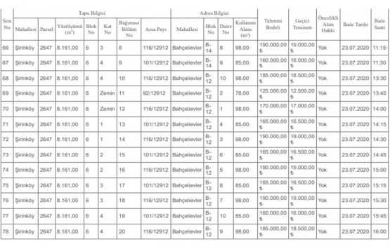
Denizli Milli Emlak Müdürlüğü, Denizli ili, Şirinköy mahallesinde yer alan 78 adet lojmanı 13 milyon 300 bin TL bedelle satışa çıkardı.
Denizli Çevre ve Şehircilik İl Müdürlüğü Milli Emlak Müdürlüğü, Denizli ili, Şirinköy mahallesinde yer alan 78 lojmanı satışa çıkardı. Gayrimenkullerin satış bedeli 13 milyon 300 bin TL olarak belirlendi.
İlan metni:
T.C.DENİZLİ ÇEVRE VE ŞEHİRCİLİK İL MÜDÜRLÜĞÜNDEN
(Milli Emlak Müdürlüğü)
İLAN





1- Aşağıdaki tabloda bilgileri yer alan Lojmanların satış ihaleleri, aynı tablonun ilgili sütunlarında belirtilen tarih ve saatlerde, 2886 sayılı Devlet İhale Kanununun 45. maddesine göre Açık Teklif Usulüyle yapılacaktır.
2- İhaleler, Çevre ve Şehircilik İl Müdürlüğü hizmet binasının zemin katındaki Şehit Astsubay Ömer Halisdemir Toplantı Salonunda toplanacak Komisyon huzurunda yapılacaktır. Komisyon ihaleyi yapıp yapmamakta serbesttir. İhalenin belirlenen süre içerisinde sonuçlanmaması durumunda sonraki ihale, bir önceki ihalenin bitiminden hemen sonra yapılacaktır.
3- İhalelere katılabilmek için isteklilerin; nüfus kayıt örneğini veya aslını ibraz etmek suretiyle nüfus cüzdanı örneğini, 2020 yılında alınmış İkametgâh Belgesini ve geçici teminata ilişkin belgeyi, Tüzel Kişiler ise ayrıca, siciline kayıtlı olduğu (Ticaret Odası, Esnaf Odası vb.) yerden alacakları yılı içinde onaylı oda sicil kaydı ve tüzel kişilik adına ihaleye katılacak kişiye verilmiş noter onaylı yetki belgesi ve imza sirkülerini, ihale saatine kadar komisyona vermeleri gerekmektedir. Geçici Teminat tutarı Defterdarlık Muhasebe Müdürlüğüne yatırılabileceği gibi ihale tarihlerinde İl Müdürlüğümüz Hizmet Binasının zemin katındaki vezneye de yatırılabilecektir. Geçici teminat olarak ayrıca Bankalarca ve Özel Finans Kurumlarınca verilen (süresiz) geçici teminat mektupları da kabul edilmektedir.
4- İsteklilerin, 2886 sayılı Kanunun 37. maddesine uygun olarak düzenleyecekleri teklif mektuplarını ihalenin başlama saatine kadar İhale Komisyonu Başkanlığına teslim etmeleri veya ihalenin başlama saatine kadar İhale Komisyonu Başkanlığına ulaşacak şekilde iadeli taahhütlü posta ile göndermeleri gerekmektedir. Postada meydana gelecek gecikmeler halinde teklif işleme alınmaz.
5- İhalenin yapıldığı tarihte; adlarına görev, sıra ve hizmet tahsisli kamu konutu tahsis edilen (şartlı tahsisler dâhil) ve fiilen konutta oturanlar öncelikli alım hakkına sahiptir. Öncelikli hakkı sahip olanların kamu konutunu satın almak istememesi, süresi içerisinde satış bedelini peşin olarak ödememesi veya peşinatı ödeyerek taksitli satış sözleşmesini imzalamaması halinde konutun satış işlemleri ihalede en yüksek bedeli teklif eden istekli adına devam ettirilir.
6- Hazinece satışı yapılan taşınmaz mallar, satış tarihini takip eden yıldan itibaren 5 yıl süreyle Emlak Vergisinden muaftır. Ayrıca, satış ve devir işlemleri ile bu işlemler sırasında düzenlenen belgeler vergi, resim ve harçtan müstesna tutulmuştur. Talep edilmesi halinde satış bedelinin taksitle ödenmesi mümkündür.
7- Taşınmaz satış ihaleleri Katma Değer Vergisinden muaftır.
8- Şartnameler ve ekleri mesai saatleri içinde Milli Emlak Müdürlüğünde bedelsiz görülebilir.
9- Türkiye genelindeki ihale bilgileri http://www.milliemlak.gov.tr internet adresinden, Denizli İlindeki ihale bilgileri http://www.denizli.csb.gov.tr internet adresinden öğrenilebilir.
İlan olunur. 03/07/2020