Elazığ'da 48.3 milyon TL'ye satılık 35 arsa!
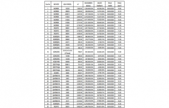
Elazığ Belediye Başkanlığı, Elazığ'da yer alan 35 adet arsayı 48 milyon 314 bin 962 TL bedelle satışa çıkardı.
Elazığ Belediye Başkanlığı, Elazığ'da yer alan 35 adet arsayı satışa çıkardı. Gayrimenkullerin toplam satış bedeli 48 milyon 314 bin 962 TL olarak belirlendi.
ARSALARIN SATIŞ İHALESİ YAPILACAKTIR
Elazığ Belediye Başkanlığından:
1-Mülkiyeti Belediyemize ait aşağıda mevkii, ada, parsel numarası, m2 si, muhammen bedeli, geçici teminatı, ihale tarihi ve saati yazılı arsaların satışı yapılacaktır.
2-Satışı yapılacak arsaların Listenin 34 ve 35. sırasında ki arsalar 2886 sayılı Devlet İhale Kanunu’nun 35. maddesinin (a) bendi uyarınca kapalı teklif usulü ile (artırma suretiyle) diğer arsalar ise 2886 sayılı Devlet İhale Kanunu’nun 45. maddesine göre Açık arttırma suretiyle satışı yapılacaktır.
3-Arsaların İhalesi aşağıda belirtilen tarih ve saatlerde Cumhuriyet Mahallesi Malatya Caddesi No: 30 Elazığ Belediyesi Bünyamin Eroğlu Kültür ve Kongre Merkezinde Encümen huzurunda yapılacaktır.
4-İhale şartnamesi mesai saatleri içerisinde ücretsiz görüleceği gibi ihaleye iştirak edilmesi halinde 100,00 TL bedel karşılığında Belediyemiz Emlak ve İstimlak Müdürlüğü Kiralama Servisinden temin edilecektir. Birden fazla arsanın ihalesine katılması halinde; her bir arsa için ayrı ayrı ihale dosyası alınacaktır. Ayrıca Teklif verecek kişiler ayrıntılı bilgi için Elazığ Belediyesi Emlak ve İstimlak Müdürlüğü Kiralama Servisinden veya (424) 248 47 02 (dahili 1232) nolu telefondan bilgi alabileceklerdir.
5-İhaleye katılmak isteyen isteklilerden, aşağıdaki şartlar aranır;
5.1- Kanuni ikametgahı olması,
5.2- T.C. Kimlik numarasını içeren Nüfus cüzdanı sureti veya fotokopisi (Gerçek Kişiler için)
5.3- İstekliye yapılacak her türlü yazışma ve tebligatlara esas olmak üzere adres beyanı,
5.4-Mevzuatı gereği kayıtlı olduğu Ticaret ve/veya Sanayi Odası ya da Esnaf ve Sanatkarlar Odası veya ilgili Meslek Odası Belgesi,
a) Gerçek kişi olması halinde, (kaydı varsa) kayıtlı olduğu ticaret ve/veya sanayi odasından ya da esnaf ve sânatkar odasından veya ilgili meslek odasından, ilk ilan veya ihale tarihinin içinde bulunduğu yılda alınmış, odaya kayıtlı olduğunu gösterir belge
b) Tüzel kişi olması halinde, ilgili mevzuatı gereği kayıtlı bulunduğu Ticaret ve/veya Sanayi Odasından, ilk ilan veya ihale tarihinin içinde bulunduğu yılda alınmış, tüzel kişiliğin odaya kayıtlı olduğunu gösterir belge,
c) Ortak girişim olması halinde ortak girişimi oluşturan gerçek veya tüzel kişilerin her birinin (a) ve (b)'deki esaslara göre temin edecekleri belge,
5.5- Teklif vermeye yetkili olduğunu gösteren İmza Beyannamesi veya İmza Sirküleri,
a) Gerçek kişi olması halinde, noter tasdikli imza beyannamesi,
b) Tüzel kişi olması halinde, ilgisine göre tüzel kişiliğin ortakları, üyeleri veya kurucuları ile tüzel kişiliğin yönetimindeki görevlileri belirten son durumu gösterir Ticaret Sicil Gazetesi, bu bilgilerin tamamının bir Ticaret Sicil Gazetesinde bulunmaması halinde, bu bilgilerin tümünü göstermek üzere ilgili Ticaret Sicil Gazeteleri veya bu hususları gösteren belgeler ile tüzel kişiliğin noter tasdikli imza sirküleri,
c) Ortak girişim olması halinde ortak girişimi oluşturan gerçek veya tüzel kişilerin her birinin (a) ve (b)'deki esaslara göre temin edecekleri belge,
5.6-İstekliler adına vekaleten iştirak ediliyor ise, istekli adına teklifle bulunacak kimselerin vekaletnameleri ile vekaleten iştirak edenin noter tasdikli imza sirküleri vermesi,
5.7- Geçici teminat (tahmini muhammen bedelin % 3’ ü oranında) bedeli ihale saatinden önce yatırıldığına dair makbuzu veya teminat mektubu, Devlet Tahvili, Hazine kefaletine haiz tahviller kabul edilir.
5.8- İsteklilerin ortak girişim olması halinde, noter tasdikli Ortak Girişim Beyannamesi ile ortaklarca imzalanan Ortaklık Sözleşmesi vermesi,
6-Listenin 34 ve 35. sırasında ki arsa ihalesine iştirak edecek istekliler 5. madde belirtilen belgelerle birlikte Usulüne uygun teklif mektubunu içeren iç zarfıda, dış zarf içerisinde sunucaklardır.
7-Satışı yapılacak arsalarda 18.01.2017 tarih ve 6770 sayılı Kanunun 8. maddesi gereğince; KDV alınmayacaktır
8-İhale ve satıştan doğan bütün vergi, resmi harç, tapu harçları, alım satım giderleri, eğitime katkı payı ile ödenmesi gereken tüm giderler ihale edilene aittir.
9 -Satış şartnamesinde belirtilen ve satışa çıkartılan Arsaların dosyasındaki bilgileri ve tapudaki takyidatları ihale edilen kişi veya kişiler tarafından aynen kabul edilmiş sayılır.
10 -Encümen gerekçesini karar içeriğinde belirtmek sureti ile ihaleyi yapıp yapmamakta
serbesttir.
11 -Teklifler ihale günü ihale saatine kadar sıra numaraları alındılar karşılığında İhale Komisyon (Encümen) Başkanlığı’na verilecektir. Teklifler iadeli taahhütlü olarak da gönderilebilir. Bu takdirde dış zarfın üzerine İhale Komisyon (Encümen) Başkanlığı'nın adresi ve hangi işe ait olduğu, isteklinin adı soyadı veya ticari unvanı ile açık adresi yazılır. Posta ile gönderilecek tekliflerin ilanda belirtilen saate kadar komisyon başkanlığına ulaşmış olması şarttır. Postada vuku bulacak gecikmeler kabul edilemez. Komisyon başkanlığına verilen teklifler
herhangi bir sebeple geri alınamaz
12 -İşbu İhale ilanı bilgi mahiyetinde olup, satışta idari şartname hükümleri geçerlidir
