Ereğli'de 7.3 milyon TL'ye satılık 35 arsa!
Konya Ereğli Belediye Başkanlığı 10 mahallede toplam 35 arsayı satıyor. Arsalar için ihale 12 Eylül'de gerçekleşecek..
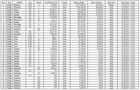
Konya Ereğli Belediyesi tarafından 35 adet arsa ihale usulü ile satışa sunuluyor. Tahmini bedeli toplam 7 milyon 308 bin 182 TL olarak belirlenen arsaların ihalesi 12 Eylül'de yapılacak.
35 ADET ARSA SATILACAKTIR
Konya Ereğli Belediyesinden:
MADDE 1 - TAŞINMAZIN MAL SAHİBİ İDAREYE İLİŞKİN BİLGİLER
1.1. Taşınmazın Mal Sahibi İdarenin;
a) Adı : Konya/Ereğli Belediyesi
b) Adresi : N. Kemal Mah. Anıt Cad. No: 54
c) Telefon numarası : (0 332) 713 15 18
d) Faks numarası : (0 332) 713 12 40
MADDE 2 - İHALEYE İLİŞKİN BİLGİLER
a) İhale usulü : 1 adet arsa 2886 Sayılı Devlet İhale yasasının 36.maddesi gereğince Kapalı Teklif Usulü ile 34 adet arsa 2886 Sayılı Devlet İhale Yasasının 45. maddesi gereğince açık artırma usulü ile satışı yapılacaktır. Açık Teklif ve Kapalı Teklif usulü ile satılacak parseller aşağıdaki tabloda belirtilmiştir. Şartname Belediyemiz Emlak ve İstimlâk Müdürlüğü'nden bedelsiz görülebilir.
b) İhalenin yapılacağı adres : Namık Kemal Mahallesi Anıt Cad. No: 54 Ereğli/KONYA adresindeki Belediye Hizmet Binası 2. Kat Sevide Tavas Toplantı Salonu
MADDE 3 - İHALE EDİLECEK TAŞINMAZLARA AİT BİLGİLER İHALE TARİH VE SAATLERİ

MADDE 4 - İHALEYE DOSYASINDA ARANACAK BELGELER:
İhale katılımcılarından istenecek belgeler aşağıda bildirilmiştir. İhale dokümanı Belediyemiz Emlak ve İstimlâk Müdürlüğü’nden alınacaktır. Müracaatların belediyemiz Emlak İstimlâk Müdürlüğü’ne ihale günü en geç saat: 12.30’a kadar yapılması gerekmektedir. Posta, kargo, telgrafla veya internet üzerinden yapılan müracaatlar kabul edilmeyecektir.
A) Açık İhale
a) Başvuru Dilekçesi.
b) İstekli tarafından imzalanmış şartnamenin bir örneği
c) İhalelere katılımdan yasaklı olmadığına dair taahhütname,
d) Belediyemize yatırmış oldukları geçici teminat makbuzu,
e) Yerleşim Yeri Belgesi (Muhtarlık veya Nüfus Müdürlüğü)
f) Nüfus Cüzdanı Fotokopisi veya Onaylı Nüfus cüzdanı sureti
g) Vekâleten Katılma Durumunda Vekâletname ve İmza Sirküleri.(Noter Onaylı)
h) İhale dokümanı satın alındığına dair makbuz.(İhale şartname bedeli 150,00 TL dir.)
i) Belediyemize borcu olmadığına dair borcu yoktur belgesi .(Belediyeden alınacaktır.)
j) Yabancı istekliler için Türkiye'de gayrimenkul edinilmesine ilişkin şartları taşımak ve Türkiye'de tebligat adresi göstermesi (Adres Beyanı)
k) Tüzel kişi olması halinde, Mevzuatı gereği tüzel kişiliğin siciline kayıtlı bulunduğu Ticaret ve/veya Sanayi veya Esnaf Odasından veya benzeri bir makamdan ihalenin yapılmış olduğu yıl içerisinde alınmış tüzel kişiliğin siciline kayıtlı olduğuna dair belge (Tescil Belgesi) ve Kayıtlı olduğu Vergi Dairesi kaydı ve teklif vermeye yetkili olduğunu gösteren noter tasdikli belge ve imza sirküleri
B) Kapalı Teklif Usulü İhale
İç Zarf:
• Teklif mektubunun bulunduğu iç zarf.
Dış Zarf:
a) Teklif Mektubu (Şartname eklerinde örneği mevcut),
b) İstekli tarafından imzalanmış şartnamenin bir örneği
c) Geçici Teminat bedeli makbuzu veya Teminat Mektubu
d) Gerçek kişiler için Nüfus Cüzdan Fotokopisi veya Nüfus cüzdanı sureti (Nüfus Müdürlüğünden)
e) Gerçek kişiler için Yerleşim Belgesi (Muhtarlık veya Nüfus Müdürlüğünden)
f) Vekâleten iştirak ediliyorsa, isteklinin adına teklif vermeye yetkili olduğuna dair noter tasdikli vekâletname,
g) Tüzel kişi olması halinde, Mevzuatı gereği tüzel kişiliğin siciline kayıtlı bulunduğu Ticaret ve/veya Sanayi veya Esnaf Odasından veya benzeri bir makamdan ihalenin yapılmış olduğu yıl içerisinde alınmış tüzel kişiliğin siciline kayıtlı olduğuna dair belge (Tescil Belgesi) ve Kayıtlı olduğu Vergi Dairesi kaydı ve teklif vermeye yetkili olduğunu gösteren noter tasdikli belge ve imza sirküleri
h) İhale dokümanı satın alındığına dair makbuz. (İhale şartname bedeli 150,00 TL dir.)
i) Belediyemize borcu olmadığına dair borcu yoktur belgesi. (Belediyeden alınacaktır.)
MADDE 5 - İhaleyi yapıp yapmamakta ve uygun bedeli tespitte Belediye Encümeni serbesttir.
MADDE 6 - İhalenin yapılamaması halinde 19.09.2017 tarihinde Salı günü aynı şartlarda, aynı yerde ve aynı saatlerde 2. defa ihale edilecektir.
MADDE 7 - Şartname mesai saatleri dâhilinde Emlak ve İstimlâk Müdürlüğü'nde görülebilir. İhale evrakları ihale günü en geç saat 12:30’a kadar Emlak ve İstimlak Müdürlüğüne teslim edilecektir.