Erzurum Belediyesi'nden satılık 71 gayrimenkul!
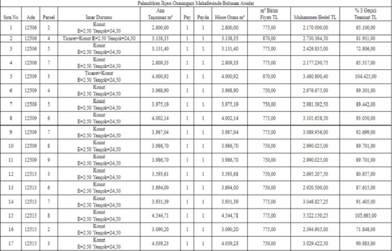
Mülkiyeti Erzurum Büyükşehir Belediyesine ait olan Yakutiye ve Palandöken ilçelerinde yer alan 71 adet gayrimenkul toplamda 253 milyon 943 bin 314,63 TL bedel ile satışa çıkarıldı.
Erzurum Büyükşehir Belediye Başkanlığı, mülkiyetinde yer alan 71 adet gayrimenkulünü toplamda 253 milyon 943 bin 314,63 TL bedel ile satışa sunuyor. Satışa konu olan gayrimenkuller Yakutiye ve Palandöken ilçelerinde bulunuyor.
Mülkiyeti Erzurum Büyükşehir Belediyesine ait aşağıda mahalle, Ada, Parsel, Mesahası ve niteliği açık şekilde belirtilen arsaların satış ihalesi 7 Haziran 2018 Perşembe günü saat 14:00’da 2886 sayılı Devlet İhale Kanununun 35/a maddesine istinaden Kapalı Teklif usulü ile Büyükşehir Belediyesi Encümen salonunda yapılacak.
İHALEYE KATILMAK İSTEYEN İSTEKLİLERDE ARANACAK ŞARTLAR
1 - Teklif Mektubu (Şartname eklerinde örneği mevcut)
2 - Kanuni ikametgâh sahibi olmak.
3 - Tebligat için Türkiye’ de adres göstermek.
4 - Gerçek veya Tüzel kişi olması halinde noter tasdikli İmza sirküleri veya imza beyannamesi ve kimlik fotokopisi.
5 - İstekliler adına vekâleten ihaleye katılım var ise, istekli adına teklifte bulunacak kişilerin vekâletnameleri ile birlikte vekâleten iştirak edenin noter tasdikli imza sirküleri veya imza beyannamesi.
6 - Büyükşehir Belediyesi Emlak ve İstimlâk Dairesi Başkanlığından temin edilecek (Emlak, ESKİ, Hukuk vb.) ilişiksiz belgesi.
7 - Erzurum Büyükşehir Belediyesi adına alınmış muhammen (tahmin edilen) bedelin %3’ü kadar geçici teminat alındı makbuzu veya limit dâhili süresiz teyitli Banka Geçici Teminat mektubu. 2886 sayılı Yasaya göre aranacaktır.
8 - Ortak girişim olması halinde noter tasdikli ortak girişim beyannamesi (ihalenin üzerinde kalması halinde ortaklarca noterden imzalanmış ortaklık sözleşmesi) her biri ortaklar tarafından ayrı ayrı sunulacaktır.
9 - Şartname bedelinin yatırıldığına dair makbuz.
10 - Şartname bedeli ve ekleri ücreti mukabilinde Emlak ve İstimlâk Dairesi Başkanlığı. Emlak Şube Müdürlüğünden temin edilebilir veya ücretsiz görülebilir.
11 - İdare ihaleyi yapıp yapmamakta, onaylayıp onaylamamakta ve uygun bedeli tespitte serbesttir.
12 - 2886 Sayılı devlet İhale Kanununa göre ihalelere katılmaktan yasaklı olanlar, bu ihaleye katılamazlar.
13 - Tüzel kişi olması halinde bağlı olduğu ticaret ve sanayi odasından alınacak Faaliyet yetki belgesi, Oda sicil kayıt sureti, İhale durum ve men ceza belgesi
14 - Her türlü vergi, resim, harç ve sözleşme giderleri ihale üzerinde kalan yükleniciye aittir.
15 - Telgraf ve faks ile yapılacak müracaatlar ve postada meydana gelebilecek gecikmeler kabul edilmeyecektir.





Öznur YASLI/Emlakkulisi.com