Erzurum Büyükşehir'den 22.6 milyon TL'ye satılık 6 gayrimenkul!
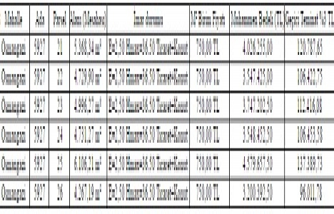
Erzurum Büyükşehir Belediye Başkanlığı, Osmangazi Mahallesi'nde bulunan 6 gayrimenkulü satışa çıkardı. Gayrimenkullerin toplam bedeli 22 milyon 649 bin 385 TL olarak belirlendi.
Erzurum Büyükşehir Belediye Başkanlığı, Osmangazi Mahallesi'nde bulunan 6 gayrimenkulü satışa çıkardı. Gayrimenkullerin toplam bedeli 22 milyon 649 bin 385 TL olarak belirlendi.
ARSALAR SATILACAKTIR
Erzurum Büyükşehir Belediye Başkanlığından:
Mülkiyeti Erzurum Büyükşehir Belediyesine ait aşağıda mahalle, Ada, Parsel ve Mesahası açık şekilde belirtilen arsaların satış ihalesi 14.02.2017 Salı günü saat 15:00’da 2886 sayılı Devlet İhale Kanununun 35/a maddesine istinaden Kapalı Teklif usulü ile Büyükşehir Belediyesi Encümen salonunda yapılacaktır.
Söz konusu Arsalara ait tahmin edilen (muhammen) satış bedeli, ihalenin geçici teminat bedeli aşağıda belirtilmiştir.

İhalelerin toplam bedeli 22.649.385 TL olarak belirlendi.
Arsaların satış bedelinin %50’si ve satış-sözleşme masraflarının tamamı peşin, satış bedelinin kalan %50’sinin ise 20 ay eşit taksit ile ödemesi yapılacaktır.
İhaleye girecek olanlar 200,00 (İki Yüz) TL karşılığında şartnameyi satın almaları gerekmektedir. (her arsa için ayrı ayrı şartname bedeli yatırılacaktır.)
İhale zarflarını aşağıda ve şartnamesinde istenilen belgeler ile birlikte sırasına uygun olarak hazırlayarak kapalı zarf içerisinde ihale komisyonuna iletilmek üzere Emlak Şube Müdürlüğüne 14.02.2017 Salı günü saat 12:00’a kadar teslim etmek zorunludur. İdare ihaleyi yapıp yapmamakta ve uygun bedeli tespitte serbesttir
İHALEYE KATILMAK İSTEYEN İSTEKLİLERDE ARANACAK ŞARTLAR
1 - Teklif Mektubu (Şartname eklerinde örneği mevcut)
2 - Kanuni İkametgâh sahibi olmak
3 - Tebligat için Türkiye’ de adres göstermek.
4 - Gerçek veya Tüzel kişi olması halinde noter tasdikli İmza sirküleri veya imza beyannamesi.
5 - İstekliler adına vekâleten ihaleye katılım var ise, istekli adına teklifte bulunacak kişilerin vekâletnameleri ile birlikte vekâleten iştirak edenin noter tasdikli imza sirküleri veya imza beyannamesi.
6 - Büyükşehir Belediyesi Emlak ve İstimlâk Dairesi Başkanlığından temin edilecek (Emlak, ESKİ, Hukuk vb.) ilişiksiz belgesi.
7 - Erzurum Büyükşehir Belediyesi adına alınmış muhammen (tahmin edilen) bedelin %3’ü kadar geçici teminat alındı makbuzu veya limit dâhili süresiz teyitli Banka Geçici Teminat mektubu. 2886 sayılı Yasaya göre aranacaktır.
8 - Ortak girişim olması halinde noter tasdikli ortak girişim beyannamesi (ihalenin üzerinde kalması halinde ortaklarca noterden imzalanmış ortaklık sözleşmesi) her biri ortaklar tarafından ayrı ayrı sunulacaktır.
9 - Şartname bedelinin yatırıldığına dair makbuz.
10 - 2886 Sayılı Devlet İhale Kanununa göre ihalelere katılmaktan yasaklı olanlar, bu ihaleye katılamazlar.
11 - Şartname bedeli ve ekleri ücreti mukabilinde Emlak ve İstimlâk Dairesi Başkanlığı. Emlak Şube Müdürlüğünden temin edilebilir veya ücretsiz görülebilir.
12 - Her türlü vergi, resim, harç ve sözleşme giderleri ihale üzerinde kalan yükleniciye aittir.
13 - Telgraf ve faks ile yapılacak müracaatlar ve postada meydana gelebilecek gecikmeler kabul edilmeyecektir.
İlan olunur.