Kanal İstanbul projesinin resmi güzergahı!
Kanal İstanbul nerede yapılacak? Kanal İstanbul güzergahında hangi ilçeler var? Kanal İstanbul hangi mahalle ve köylerden geçecek? Kanal İstanbul projesinin koordinatları nedir? Kanal İstanbul projesi için vazgeçilen güzergah hangisi? İşte detaylar…

Kanal İstanbul projesiyle ilgili güzergah bilgisi şimdiye kadar spekülasyondan öteye gitmedi. www.emlakkulisi.com, Kanal İstanbul güzergahını resmi belgeleriyle yayınlıyor…
Başbakan Recep Tayyip Erdoğan’ın 2009 yerel seçimleri öncesinde açıkladığı ve basında “Çılgın Proje” olarak adlandırılan Kanal İstanbul projesi, Resmi Gazete’de yayımlanan İstanbul İli Avrupa Yakası Proje Alanı haritası ile netlik kazandı.
Yenişehir, Sazlıdere'ye kaydırılacak! Bomba kulis için tıklayın!
Sayılarla Kanal İstanbul projesi!
Kanal İstanbul projesi 6 bin 865 hektar (68 milyon 865 bin metrekare) alan üzerinde hayata geçirilecek. 25 metre derinlikte ve 150 metre genişlikte yapılacak olan Kanal İstanbul, 40 milyar dolara mal olacak. Kanal İstanbul için belirlenen alanda 1 milyon 120 bin 280 kişinin yaşaması planlanıyor.
Kanal İstanbul güzergahı!
Kanal İstanbul güzergahı şöyle oluştu:
Küçükçekmece – Başakşehir (Altıntepe, Güvercintepe ve Şahintepe Mahalleleri) – Arnavutköy Karaburun Köyü
Arnavutköy Belediyesi'ne rezerv alanı haritaları gönderildi ve çalışmalar başladı.
Kanal İstanbul, Küçükçekmece - Başakşehir - Arnavutköy ilçelerinden geçerek Karadeniz ile Marmara Denizi’ni bağlayacak. Kanal İstanbul projesi ile Küçükçekmece Gölü yeniden canlandırılması planlanıyor.
Arnavutköy Tapu Müdürlüğü'ne Nisan ayının sonunda gelen bir genelgeyle bölgede hisseli tarla satışlarına geçici olarak son verildi.
Vazgeçilen güzergah!
Kanal İstanbul projesi için daha önce belirlenen Silivri – Ortaköy – İnceğiz – Gökçeli – Çanakça - Dağyenice güzergahından Karacaköy, Evcik Barajı'ndan Karadeniz'e bağlanan bölümde istimlak edilecek arazilerin çok olması nedeniyle vazgeçildi.
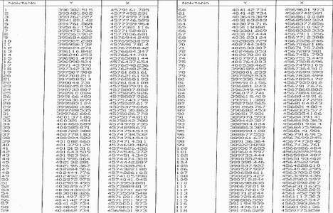
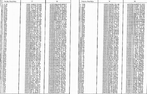
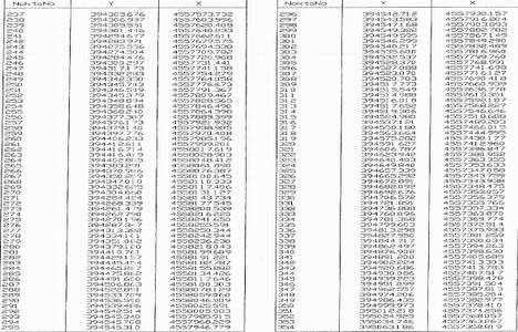
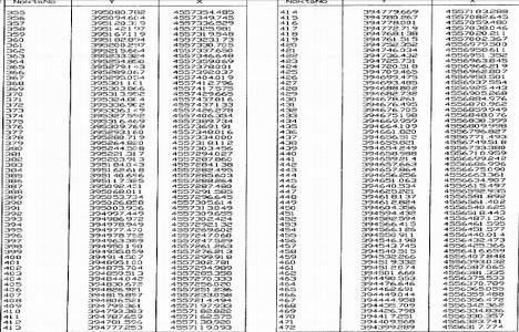
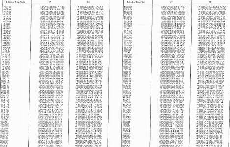
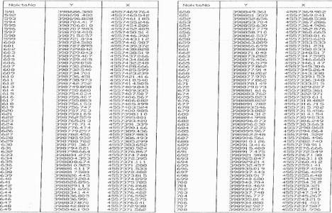
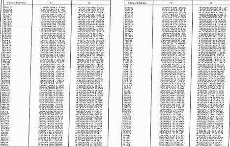
Kanal İstanbul güzergahının koordinatları!
28984 sayılı Resmi Gazete’de yayımlanan 2014/6028 sayılı Bakanlar Kurulu Kararı şöyle;
“İstanbul’da bulunan bazı alanlarda gerçekleştirilecek proje uygulamaları kapsamında 13/8/2012 tarihli ve 2012/3573 sayılı Bakanlar Kurulu Kararı uyarınca Çevre ve Şehircilik Bakanlığının yetkilendirildiği alan sınırlarının yeniden belirlenmesine ilişkin ekli Kararın yürürlüğe konulması; adı geçen Bakanlığın 14/2/2014 tarihli ve 22281 sayılı yazısı üzerine, 644 sayılı Çevre ve Şehircilik Bakanlığının Teşkilat ve Görevleri Hakkında Kanun Hükmünde Kararnamenin 2 nci maddesinin birinci fıkrasının (ç) bendine göre, Bakanlar Kurulu’nca 24/2/2014 tarihinde kararlaştırılmıştır.”
24/2/2014 tarihli ve 2014/6028 sayılı kararnamenin eki
Karar
Madde 1 – İstanbul’da bulunan ve 13/8/2012 tarihli ve 2012/3573 sayılı Bakanlar Kurulu Kararı uyarınca, olası afet riskini bertaraf etmek için ruhsatsız, iskânsız ve afet riski altındaki yapıların tasfiye edilerek yeni yerleşim alanı olarak kullanılması amacıyla, 644 sayılı Çevre ve Şehircilik Bakanlığının Teşkilat ve Görevleri Hakkında Kanun Hükmünde Kararnamenin 2 nci maddesinin birinci fıkrasının (ç) bendi kapsamında Çevre ve Şehircilik Bakanlığının yetkilendirildiği alanın sınırları, ekli kroki ile listede gösterildiği şekilde yeniden belirlenmiştir.
Madde 2 – Bu Karar yayımı tarihinde yürürlüğe girer.
Madde 3 – Bu Karar hükümlerini Çevre ve Şehircilik Bakanı yürütür.
İşte o kroki!

Kanal İstanbul'un koordinatları!







