Manisa'daki 87 gayrimenkul satışa çıkıyor!
Manisa İli Gördes Belediye Başkanlığı, Manisa'da yer alan 87 adet gayrimenkulü satışa çıkardı.
Manisa İli Gördes Belediye Başkanlığı, Manisa'da yer alan 87 adet gayrimenkul için satış ihalesi düzenliyor. İhale 31 Aralık 2020 tarihinde gerçekleştirilecek.
GAYRİMENKULLERİN SATIŞ İHALESİ YAPILACAKTIR
Manisa İli Gördes Belediye Başkanlığından:
1- Mülkiyeti Belediyemize ait aşağıda cinsi, evsafı ve özellikleri gösterilen taşınmazlar 2886 sayılı Devlet İhale Yasasının 45. Maddesine göre 31 Aralık 2020 Perşembe saat 10.00’da Belediye Kültür Sarayı Çok Amaçlı Salonunda açık arttırma usulü ile satış ihalesi yapılacaktır.
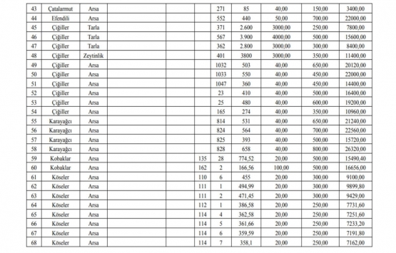
2- Satışı yapılacak taşınmazların:




3- 31 Aralık 2020 Perşembe günü saat 10.oo’da yapılan ihalede satılmayan gayrimenkuller 07 Ocak 2021 tarihinde yine aynı yer ve aynı saatte ikinci kez ihale yoluyla yapılacak, satılamayan gayrimenkuller ise 14 Ocak 2021 tarihinde yine aynı yer ve saatte üçüncü ihale yapılacaktır. İhalesi sonuçlandırılmayan yerler Belediye Encümeni tarafından pazarlık yoluyla satışı yapılabilecektir.
4- Taşınmaz mal satış şartnamesi Gördes Belediyesi, Emlak ve İstimlak Müdürlüğü’nden görülebilir ve 100,00-TL (yüz) ücret karşılığında satın alınabilir. Ayrıca www.gordes.bel.tr adresinden taşınmaz mal satış şartnamesine ulaşılabilir.
5- İhaleye çıkarılan taşınmazların muhammen bedelleri ve geçici teminat bedelleri yukarıdaki tabloda belirtildiği şekildedir.

6- İHALEYE KATILABİLME ŞARTLARI
a) Geçici teminat; İstekliler söz konusu gayrimenkulün satış ihalesine katılabilmek için satın alacakları taşınmazın muhammen bedelinin en az %3’ü (yüzde üç) nispetinde geçici teminat veya banka teminat mektubu vereceklerdir.
b) İhaleye iştirak eden tarafından her sayfası ayrı ayrı imzalanmış şartname.
c) Nüfus cüzdanı sureti. (Gerçek kişiler için),
d) İhalenin yapılmış olduğu yıl içerisinde alınmış İkametgah Belgesi (Gerçek kişiler için)
e) Türkiye’de tebligat adresi için adres göstermesi (Tüzel kişilik için)
f) Tüzel kişi olması halinde, Mevzuatı gereği tüzel kişiliğin siciline kayıtlı bulunduğu Ticaret ve/veya Sanayi veya Esnaf Odasından veya benzeri bir makamdan ihalenin yapılmış olduğu yıl içerisinde alınmış tüzel kişiliğin siciline kayıtlı olduğuna dair belge ve Kayıtlı olduğu Vergi Dairesi ve numarası,
g) İsteklinin ortak girişim olması halinde şekli ve içeriği ilgili mevzuatlarca belirlenen noter tasdikli ortak girişim beyannamesi
h) Tüzel kişi olması halinde, teklif vermeye yetkili olduğunu gösteren noter tasdikli imza beyannamesi veya imza sirküleri
ı) Vekaleten ihaleye katılma halinde, istekli adına katılan kişinin ihaleye katılmaya ilişkin yetkisinin bulunduğu noter tasdikli vekaletnamesi ile noter tasdikli beyannamesi.
i) Gerçek kişinin kendisi ve nüfus kaydında belirtilen kişilerin, Tüzel Kişiliğin ve yetkilisinin nüfus kayıt örneğinde belirtilen kişilerin Belediyeye
günü (vadesi) geçmiş borcu olmadığına dair belge (Belediye Başkanlığından )
j) Gerçek kişiler için iyi hal kâğıdı ( Cumhuriyet Savcılığından ya da e-Devlet üzerinden )
k) Vergi borcu olmadığına dair belge (Vergi Dairesi Müdürlüğünden ya da e-Devlet)
7- İhale ile ilgili olarak her türlü vergi, resim, harçlar, ipotek masrafları ve diğer giderleri ödemek alıcıya aittir.
8- Taşınmazın satış ihalesine teklif verecekler; ihale evraklarını yukarıda ve şartnamede belirtilen belgeler ile birlikte satış şartnamesinde belirtilen maddelere uygun olarak hazırlayarak 31 Aralık 2020 Perşembe günü saat 10.oo’a kadar Gördes Belediyesi, Emlak ve İstimlak Müdürlüğü’ne sıra numaralı alındı belgesi karşılığında teslim edeceklerdir. Diğer ihale günleri, ihale saatine kadar müracaat kabul edilecektir. Posta, kargo, telgrafla veya internet üzerinden yapılan müracaatlar kabul edilmeyecektir. Türkiye Radyo ve Televizyon (TRT) İdaresinin saat ayarı esastır.
9- İhale komisyonu (Belediye Encümeni), gerekçesini kararda belirtmek suretiyle ihaleyi yapıp yapmamakla serbesttir. Komisyonun ihaleyi yapmama kararına itiraz edilemez.
İlanen duyurulur.