Milli Emlak'tan İstanbul'da satılık 57 gayrimenkul!
İstanbul Anadolu Yakası Milli Emlak Dairesi Başkanlığı Sancaktepe ve Şile'de yer alan 57 adet gayrimenkulü satılığa çıkardı.
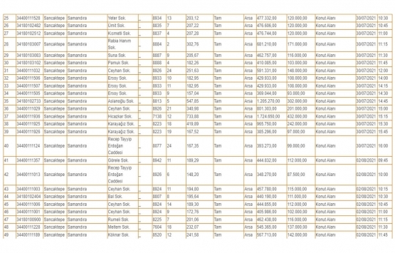
İstanbul Anadolu Yakası Milli Emlak Dairesi Başkanlığı Sancaktepe ve Şile ilçesinde yer alan 57 gayrimenkulu satışa çıkardı. Satışa çıkarılacak gayrimenkuller için 29 Temmuz saat 09:45'te ihale gerçekleşecek. İhale açık teklif usulü ile yapılacak.




İhale metni
1- Yukarıda nitelikleri belirtilen taşınmazların kiralanması/ satışı, gösterilen gün ve saatte, 2886 s. Devlet İhale Kanununun 45. maddesi uyarınca"Açık Teklif Usulü" ile İstanbul Çevre ve Şehircilik İl Müdürlüğü Anadolu Yakası Milli Emlak Dairesi Başkanlığı, Ankara Cad. Hükümet Konağı Sk No:11 Kat: 1 Cağaloğlu, Fatih/İSTANBUL adresinde, İhale Salonunda yapılacaktır.
2- İhaleye iştirak etmek isteyenlerin;
a) Geçici teminatı yatırmaları; (geçici teminat olarak kabul edilebilecek değerler:
1) Tedavüldeki Türk Parası,
2) Mevduat ve katılım bankalarının verecekleri süresiz teminat mektupları,
3) Hazine Müsteşarlığınca İhraç edilen Devlet İç borçlanma senetleri veya bu senetler yerine düzenlenen belgelerdir. (Nominal bedele faiz dahil edilerek ihraç edilmiş ise, bu işlemlerde anaparaya tekabül eden satış değerleri esas alınır.)
Mevduat ve Katılım bankalarınca verilen teminat mektupları dışındaki teminatlar istekliler tarafından hizmet binamızdaki Defterdarlık Muhasebe Müdürlüğüne yatırılması gerekmektedir.
Teminat mektuplarının (süresiz ve limit içi olarak düzenlenecek, şube limitleri ve işin özelliği belirtilecek, banka teyit yazısı ile birlikte getirilecektir) ve senetlerin 2886 sayılı Devlet İhale Kanuna göre düzenlenmesi gerekmektedir.
(b)Gerçek kişilerin tasdikli (T.C. kimlik numarasını içeren ) Nüfus Hüviyeti Sureti veya aslı ibraz edilmek kaydıyla nüfus cüzdan fotokopisi ve İkametgah Belgesini;
Tüzel kişilerin, idare merkezlerinin bulunduğu yer mahkemesinden veya siciline kayıtlı bulunduğu ticaret veya sanayi odasından yahut benzeri meslekî kuruluştan, ihalenin yapıldığı yıl içinde alınmış sicil kayıt belgesi, Ticaret Sicil Gazetesi ile tüzel kişilik adına ihaleye katılacak veya teklifte bulunacak kişilerin tüzel kişiliği temsile tam yetkili olduklarını gösterir noterlikçe tasdik edilmiş imza sirkülerini veya vekâletnameyi;
Kamu tüzel kişilerinin tüzel kişilik adına ihaleye katılacak veya teklifte bulunacak kişilerin tüzel kişiliği temsile yetkili olduğunu belirtir belgeyi;
Ortak katılım halinde ortak girişim beyannamesi ile birlikte; ihale saatine kadar İhale Komisyonu Başkanlığına (İhale Servisine) başvurarak belgelerini teslim etmeleri gerekmektedir.
3- Satış bedelinin taksitle ödenmesi halinde, bedelin en az dörtte biri peşin, kalan kısma faiz uygulanmak suretiyle kalanı en fazla iki yılda, eşit taksitlerle ve üçer aylık dilimler halinde kanuni faiziyle tahsil edilir.
4- İhaleye ait şartname İhale Servisinde görülebilir. İhale bilgileri internet adresimizdeki ( https://istanbul.csb.gov.tr) "Milli Emlak Duyuruları" bölümünden takip edilebilir.
5- Satışı yapılan taşınmaz mallar 5 (beş) yıl süre ile Emlak Vergisine tabi değildir.
6- Satışı yapılan taşınmaz mallar KDV'den, satış ve devir işlemleri sırasında düzenlenen belgeler vergi, resim ve harçtan müstesnadır.
7-Satışı yapılacak taşınmazların; satış bedelleri üzerinden 5.000.000,00-TL'ye (BeşMilyonTL'ye) kadar olan kısmı için %1 (yüzde bir) 5.000.000,00-TL'den (BeşmilyonTL'den) 10.000.000,00-TL'ye (OnMilyonTL'ye) kadar olan kısmı için %0.5 (binde beş) 10.000.000,00-TL'yi (OnMilyonTL'yi) aşan kısmı için % 0.25 (on binde yirmi beş) oranlarında işlem bedeli tahsil edilir.
8- Postadaki vaki gecikmeler kabul edilemeyecektir. Komisyon ihaleyi yapıp yapmamakta serbesttir. İlan olunur.