Nevşehir Gülşehir'de 10.8 milyon TL'ye satılık 139 gayrimenkul!
Gülşehir Belediye Başkanlığı 139 gayrimenkulü ihale usulü ile satılıyor. Gayrimenkuller için ihale 28 Temmuz'da Cuma günü Saat 10.00’da gerçekleşecek..
Gülşehir Belediye Başkanlığı tarafından, 139 gayrimenkul ihale usulü ile satışa sunuluyor. İhale toplam muhammen bedeli 10.8 milyon TL olarak belirlenen gayrimenkuller için 28 Temmuz'da Cuma günü Saat 10.00’da yapılacak.
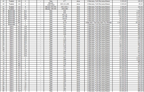
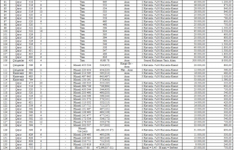
TAŞINMAZLAR SATILACAKTIR
Gülşehir Belediye Başkanlığından:
1 - Mülkiyeti Belediyemize ait aşağıdaki listede bulunan taşınmazlarımız, 2886 Sayılı Devlet İhale Kanununun 45. maddesi gereğince açık artırma usulü ile satışı yapılacaktır.
2 - İhale 28/07/2017 tarihine rastlayan Cuma günü Saat 10.00’da Belediyemiz toplantı salonun da ihale komisyonumuzca Encümen huzurunda yapılacaktır.
3 - Satış ihalesi yapılacak taşınmazlara ait bilgiler aşağıda gösterilmiştir.




4 - İhaleye katılacaklar Belediyemizce hazırlanan şartnameyi kabul etmiş sayılır.
5 - İhale ile ilgili dokümanlar Belediyemizin Yazı İşleri Müdürlüğünden ihale günü saat 09.00’a kadar ücretsiz olarak görülebilir. İhaleye katılacaklar doküman bedeli olarak 50.00.TL’yi Belediyemiz tahsilatına ödeyerek doküman bedeli ile geçici teminat makbuzu veya mektubu ihale komisyonuna ibraz edeceklerdir.
6 - İhaleye katılacak istekliler;
a) Tebligata yarar Türkiye sınırları içerisinde adres beyanı (İkametgah Belgesi), TC. Kimlik Numaralı Nüfus Cüzdan fotokopisi.
b) İhaleye katılacakların geçici teminat bedelini yatırdıklarına dair makbuzları, tüzel kişiler ise ayrıca yılı içinde alınmış onaylı Sicil Kaydı ile tüzel kişilik adına ihaleye katılacak kişiye verilmiş Noter onaylı yetki belgesi veya imza sirkülerinin örneğini, Vergi numaralarını,
c) Belediyemize her hangi bir borcu olmadığına dair borcu yoktur yazısı,
d) Kayıtlı olduğu yerden Sicil Belgesi, ihale saatine kadar Komisyon Başkanlığına sunmak zorundadırlar.
7 - İhalede satışı gerçekleşmeyen taşınmazlar için ikinci ihale 11/08/2017 tarihinde Belediye Toplantı salonunda saat 10:00’da aynı şartlarla gerçekleştirilecektir.
8 - Bu ihalede taşınmazların satışının yapılamaması halinde 2886 sayılı Yasanın 49.maddesi hükümleri uygulanır.
9 - Belediye Encümenimiz ihaleyi yapıp yapmamakta serbesttir.
İlanen duyurulur.