Pursaklar Belediyesi'nden 21.8 milyon TL'ye satılık 12 arsa!
Pursaklar Belediyesi, Saray Fatih ve Ayyıldız Mahallesi'nde yer alan 12 arsayı ihale ile satıyor. İhale 8 Kasım'da yapılacak...
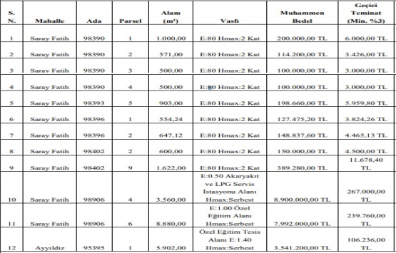
Pursaklar Belediye Başkanlığı tarafından Saray Fatih ve Ayyıldız Mahallesi'nde yer alan 12 arsa ihale ile satışa sunuluyor. Toplam muhammen bedeli 21 milyon 861 bin 652 lira olarak belirlenen arsaların satış ihalesi 8 Kasım'da yapılacak.
TAŞINMAZ MAL SATILACAKTIR
Pursaklar Belediye Başkanlığından:
1. İdareye İlişkin Bilgiler:
1.1. İdarenin:
a) Adı : Pursaklar Belediye Başkanlığı
b) Adresi : Mimar Sinan Mah. Yavuz Bulvarı Ballıbaba Sok.No:35 Pursaklar/Ankara
c) Telefon numarası : 312 5519824
ç) Faks numarası : 312 5271412
d) Elektronik posta adresi : [email protected]
e) İhaleyi Yürütecek Müdürlük : Pursaklar Belediyesi Emlak ve İstimlak Müdürlüğü
1.2. İstekliler, ihaleye ilişkin bilgileri yukarıdaki adres ve numaralardan görevli personelle irtibat kurmak suretiyle temin edebilirler.
2. İhale konusu işe ilişkin bilgiler;
2.1. İhalenin konusu; Mülkiyeti Belediyemize ait aşağıdaki listedeki taşınmazların satılmak suretiyle ihale edilmesi, 5393 sayılı Belediye Kanunun 15.maddesinin (h) fıkrası gereğince, 2886 sayılı Devlet İhale Kanunu, 36. ve 45.Maddesine göre 08.11.2018 tarihinde aşağıda belirtilen bsaatlerde Kapalı Teklif Usulü ve Açık Teklif Usulü ile ihale edilmek suretiyle satılacaktır.

2.2. İhaleye ait (varsa) diğer bilgiler: İhale Şartnamesinde belirtilmiştir.
2.3. İhalenin yapılacağı adres : Merkez Mah. Belediye Cad. No: 3 6.Kat Toplantı Odası Pursaklar/Ankara
3.İhaleye Katılabilmek İçin Gereken Belgeler ve Yeterlik Kriterleri:
3.1. Muhammen Bedelin % 3’ ünden az olmamak üzere geçici teminat yatırılacaktır.
3.2.İstekli Gerçek Kişi İse:
a) Kanuni ikametgâh belgesi ( Telefon ve varsa fax numarası belgeye eklenecektir. ),
b) Noter tasdikli imza beyannamesi,
c) İstekliler adına vekâleten iştirak ediliyor ise, istekli adına teklifte bulunacak kimselerin vekâletnameleri ile vekâleten iştirak edenin noter tasdikli
imza beyannamesi,
ç) İhaleye iştirak eden taraflardan her sayfası ayrı ayrı imzalanmış şartname,
d) Şartnamede belirtilen geçici teminatın ödendiğine dair makbuz, belge veya bankalardan alınmış Geçici teminat mektubu
(Devlet Tahvili veya hazine kefaletine haiz tahviller kabul edilir.),
3.3. İstekli Tüzel Kişilik İse:
a) İsteklinin siciline kayıtlı bulunduğu Ticaret Odasından veya diğer resmi makamlardan şirketin siciline kayıtlı ve halen faaliyette olduğuna dair
ihale yılı içinde alınmış belge,
b) Şirketin imza ve yetki sirkülerinin veya şirket adına ihaleye girecek kimse veya kimselerin bu şirketin vekili olduğuna dair noterden onaylı vekâletname ve vekile ait imza sirküleri,
c) Türkiye’de tebligat için adres göstermesi ve telefon bildirmesi ( Yazılı olarak ),
ç) Şartnamede belirtilen geçici teminatın ödendiğine dair makbuz, belge veya bankalardan alınmış Geçici teminat mektubu (Devlet tahvili veya
hazine kefaletine haiz tahviller kabul edilir),
d) İhaleye iştirak eden taraflardan her sayfası imzalanmış şartname,
4.İhale ile ilgili şartnameyi almayanlar ihaleye iştirak edemezler. İhale dokümanı Mimar Sinan Mah. Yavuz Bulvarı Ballıbaba Sok.No:35 Emlak ve İstimlak Müdürlüğünden temin edilecektir.
5. İhaleye iştirak edenler şartnameyi kabul etmiş sayılırlar.
6. Teklifler, ihale (son teklif verme) tarih ve saatine kadar yukarıda belirtilen yere verilebileceği gibi, iadeli taahhütlü posta yoluyla da gönderilebilir.
İhale (son teklif verme) saatine kadar idareye ulaşmayan teklifler değerlendirmeye alınmaz.
7. İhale yapıp yapmamakta ve uygun bedeli tespitte Belediye Encümeni serbesttir.