Çankaya Belediyesi'nden 21.7 milyon TL'ye satılık 18 gayrimenkul!
Çankaya Belediyesi, Ankara ili, Çankaya ilçesinde yer alan 18 gayrimenkulü 21 milyon 747 bin TL'ye satıyor...
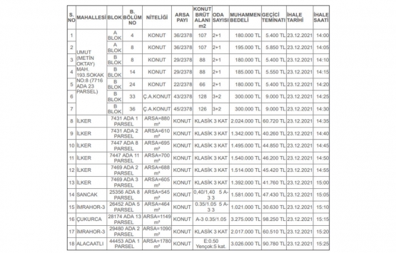
Çankaya Belediyesi tarafından, Ankara ili, Çankaya ilçesinde yer alan 18 gayrimenkul 21 milyon 747 bin TL'ye satışa sunuldu. Gayrimenkulün satış ihalesi 23 Aralık tarihinde saat 14:00'te gerçekleştirilecek.
İlan metni:
TAŞINMAZLAR SATILACAKTIR Çankaya Belediye Başkanlığından
1- Mülkiyeti Belediyemize ait aşağıda ada, parsel numarası, durumu, muhammen bedeli, geçici teminatı, ihale günü ve ihale saati yazılı taşınmazlar; 2886 Sayılı Devlet İhale Kanunu’nun 36. maddesi uyarınca kapalı teklif usulü (artırma) yoluyla satılacaktır.

2- İhale; ilanda belirtilen tarih ve saatte, Belediye Başkanlığımızın Ziya Gökalp Caddesi No:11 B-1 Blok 9.kat Kızılay/Ankara adresindeki Çankaya Belediyesi Encümen Salonunda yapılacaktır. İhale ile ilgili şartname; çalışma saatleri içerisinde Ziya Gökalp Cad. No:11 A1-A2 Blok 6.kat Kızılay/Ankara adresindeki Belediyemiz Emlak ve İstimlak Müdürlüğünde ücretsiz görülebilir ve 150.-TL (yüzellilira) karşılığında temin edilebilir.
3- İhaleye gireceklerden;
Gerçek kişiler için; Nüfus Kayıt Örneği, Yerleşim Yeri Belgesi (Nüfus Müdürlüğünden/Noterden/E-devletten), İmza Beyannamesi (Noterden), Vekaleten iştirak halinde Noter tasdikli vekaletname ve imza beyannamesi.
Tüzel kişiler için; Tüzel kişiliğin idare merkezinin bulunduğu yer mahkemesinden veya siciline kayıtlı olduğu Ticaret ve/veya Sanayi Odası, Esnaf Odası veya benzeri bir makamdan ihale yılı içerisinde alınmış tüzel kişiliğin sicil kaydını gösterir belge (Aslı, noter tasdikli sureti veya aslı idarece görülmüştür onaylı sureti) ile Noter tasdikli imza sirküleri; Dernek veya Vakıfsa taşınmaz mal satın alma yetkisini gösterir yetkili organ tarafından alınmış kararın noter tasdikli sureti ile yetkilendirilen kişinin noter tasdikli imza beyannamesi; Ortak girişim olarak girecek ortakların yukarıda belirtilen belgeler ile teklif mektubunda ortaklık oranlarını belirtmeleri; geçici teminata ait makbuzu (geçici teminatın banka teminat mektubu olması halinde limit içi ve süresiz olması gerekmektedir); İhale dosyasının idareden satın alındığına dair dosya alındı makbuzunun aslını; İhale konusu taşınmazın yerinde görüldüğüne dair Emlak ve İstimlâk Müdürlüğünden alınacak yer görme belgesini; sözleşme ve şartnameleri okuyup kabul ettiğine dair taahhütnameyi; dış zarfa koymaları, teklif mektubunu şartname ekinde bulunan örneğine uygun olarak doldurarak iç zarfa koymaları ve teklifin hangi taşınmaz satışına ilişkin olduğunu yazmaları gerekmektedir.

4- Tekliflerin ihale günü saat 12.00 ‘ye kadar ihalenin yapılacağı Encümen Başkanlığına (Ziya Gökalp Caddesi No:11 B-1 Blok 9.kat adresinde bulunan Yazı İşleri Müdürlüğü’ne) teslim edilmesi gerekmektedir.
5- İhaleye posta ile katılmak mümkündür. İhaleye posta ile iştirak edeceklerin Şartname hükümlerine uygun olarak düzenleyecekleri tekliflerini, ihale günü saat 12.00’ ye kadar Belediye Başkanlığımızın Ziya Gökalp Caddesi No:11 B-1 Blok 9.kat Kızılay/ANKARA adresine, iadeli taahhütlü posta vasıtasıyla gönderebilecektir. Tekliflerdeki teklif edilen değer; ihaleye iştirak edenin son teklifi olarak değerlendirilecektir. Postada meydana gelecek gecikmeler dikkate alınmayacaktır.
6- 2886 sayılı Devlet İhale Kanunu’nun 40.maddesinin ek fıkrası gereği; kapalı teklif usulü ile yapılan artırma ihalelerinde; geçerli en yüksek teklifin altında olmamak üzere, oturumda hazır bulunan isteklilerden sözlü veya yazılı teklif alınmak suretiyle ihale sonuçlandırılır. Ancak, geçerli teklif sayısının üçten fazla olması durumunda bu işlem, geçerli en yüksek teklif üzerinden, oturumda hazır bulunan en yüksek üç teklif sahibi istekliyle, bu üç teklif ile aynı olan birden fazla teklifin bulunması halinde ise bu istekliler dahil edilmek suretiyle yapılır.
7- Belediyemizce satışı yapılacak taşınmazlar; KDV istisnasına tabi olduğundan, bu satışlardan KDV tahsilatı yapılmayacaktır.
8- Telefon : 0 312 458 89 00 / 2240 - 2241 Faks: 0 312 458 90 76 Web: www.cankaya.bel.tr
9- İdare İhaleyi yapıp yapmamakta serbesttir.