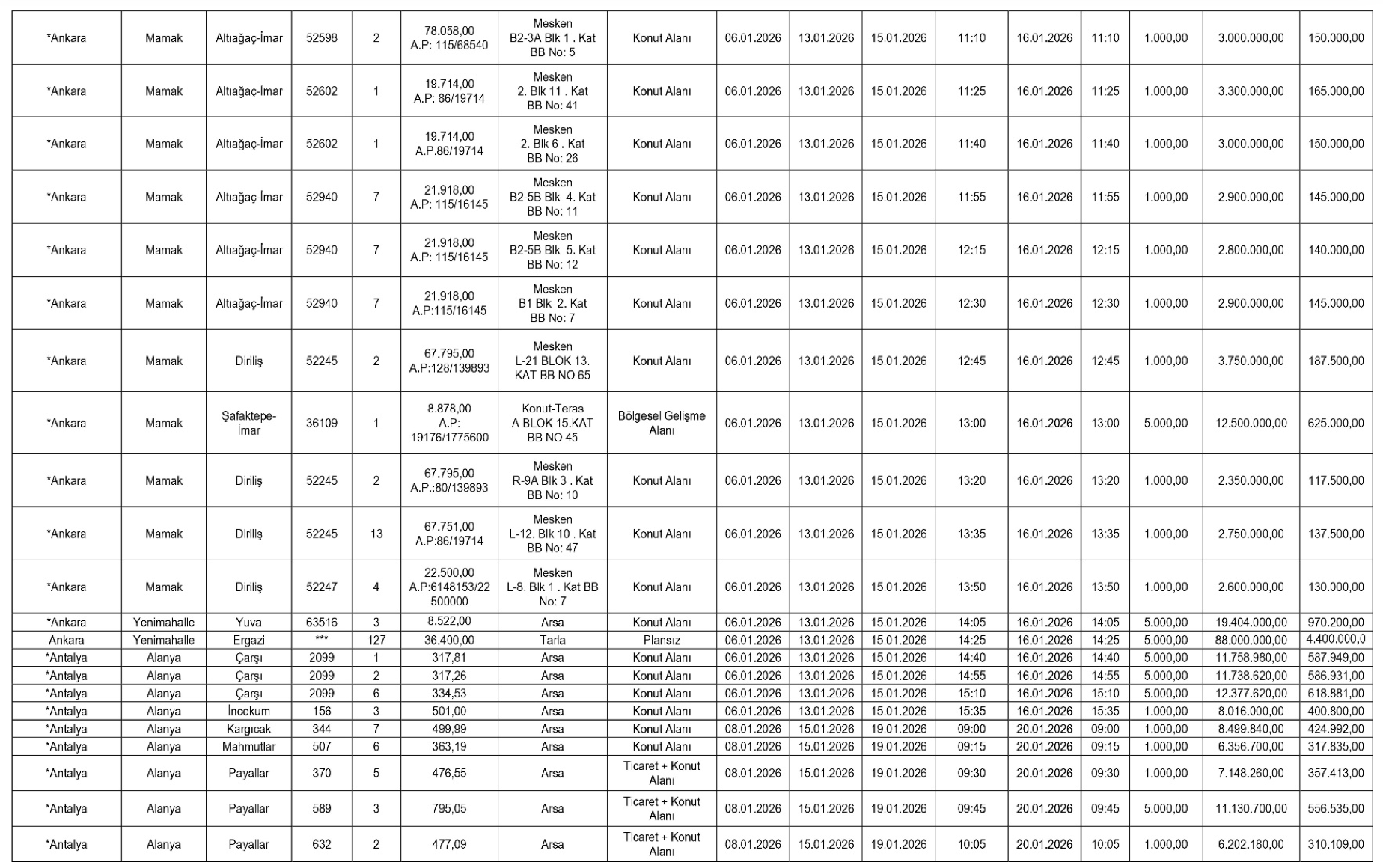
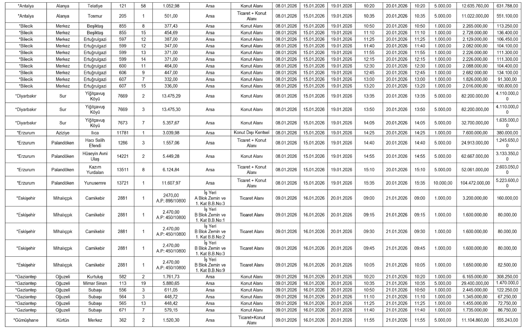
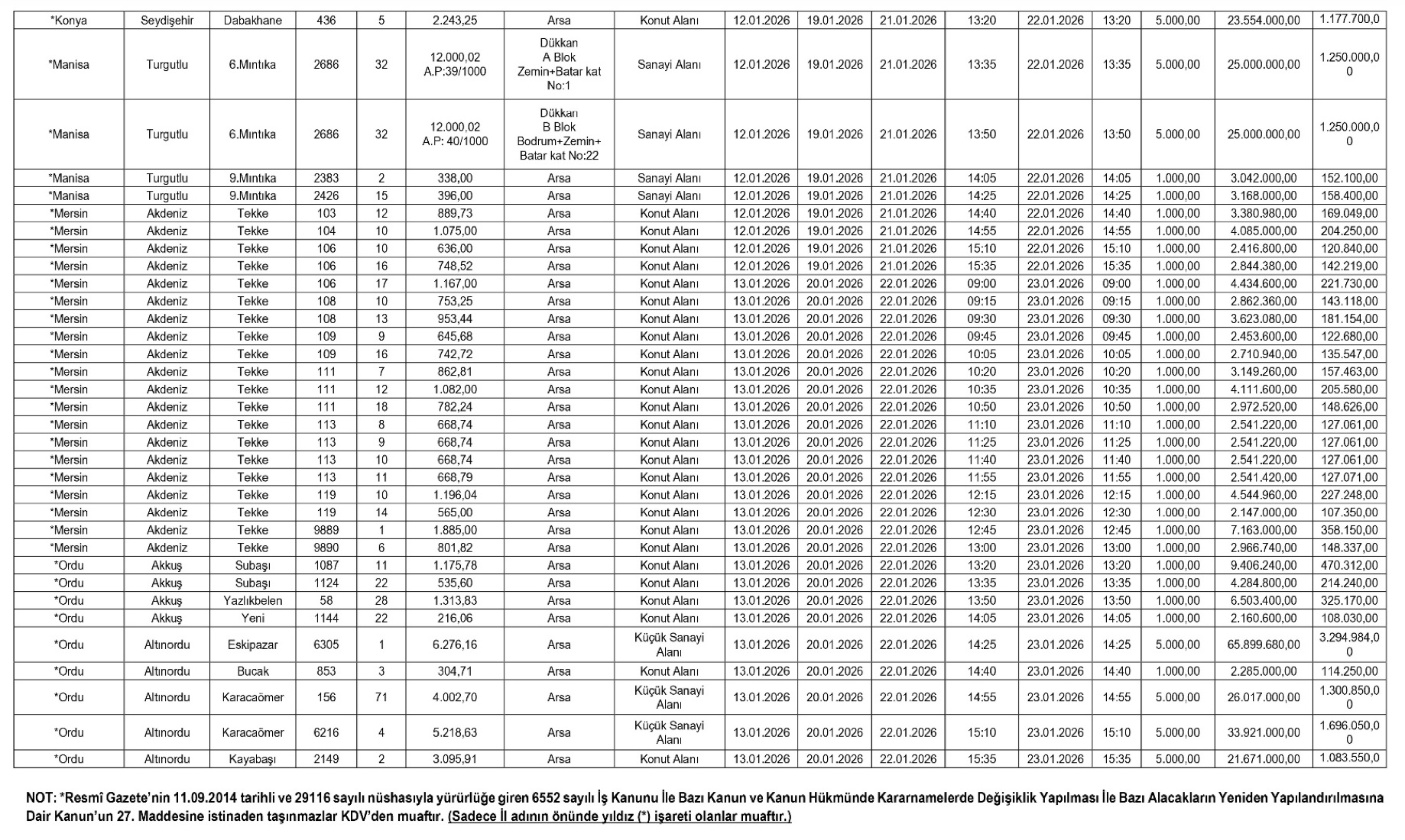
SGK'dan 19 ilde gayrimenkul satışı!
SGK, 19 ilde bulunan gayrimenkullerini 12-23 Ocak 2026 tarihleri arasında Elektronik Satış Portalı üzerinden satışa çıkarıyor.
Sosyal Güvenlik Kurumu (SGK), 19 ildeki taşınmazlarını 12-23 Ocak 2026 tarihleri arasında Elektronik Satış Portalı üzerinden satışa çıkaracağını duyurdu. Konu ile ilgili olarak verilen detaylara göre tamamı çevrim içi ortamda yapılacak ihaleler, e-Devlet Kapısı üzerinden takip edilebilecek ve başvurular dijital olarak alınacak.
SGK’nın açıklamasına göre satış süreci, “Sosyal Güvenlik Kurumu Taşınmazlarının Elektronik Ortamda Yapılacak Satışlarına İlişkin Yönetmelik” çerçevesinde yürütülecek.
Kurum, bu ihalelerin 2886 sayılı Devlet İhale Kanunu’na tabi olmadığının altını çizerek, ihalenin yapılıp yapılmaması konusunda tamamen serbest olduğunu bildirdi. İhale ilanında yer alan bilgilerin bağlayıcı taahhüt niteliği taşımadığı, genel bilgilendirme niteliğinde olduğu da vurgulandı.
İhaleye katılmak isteyen gerçek ve tüzel kişiler, satışa konu taşınmazlara ait ihale dokümanlarını e-Devlet Kapısıüzerinden SGK Elektronik Satış Portalı’na giriş yaparak ücretsiz olarak inceleyebilecek. Başvurular ise SGK’nın internet sitesinde yer alan “İhaleler” → “Gayrimenkul Satış İhaleleri” bölümü üzerinden yapılacak. Başvuru süresi sona erdikten sonra hiçbir şekilde yeni müracaat kabul edilmeyecek.
TEMİNAT VE ÖDEME ŞARTLARI
Satın alınmak istenen gayrimenkul için belirlenen geçici teminat bedelinin:
-Nakit ödenecekse, yetkili bankalara yatırılması,
-Süresiz kesin teminat mektubu şeklinde verilecekse, başvuru bitiş tarihinden önce herhangi bir SGK İl Müdürlüğü’ne ya da SGK İnşaat ve Emlak Daire Başkanlığı’na elden teslim edilmesi gerekiyor.
Teminat olarak yalnızca Türk Lirası ve Bankacılık Kanunu kapsamındaki kuruluşlarca düzenlenen süresiz kesin teminat mektupları kabul edilecek. İhaleyi kazananlar, satış bedelini peşin olarak SGK’nın ilgili hesaplarına yatırmakla yükümlü olacak.
SGK ayrıca, mevzuat gereği ihaleye katılması yasaklı olduğu tespit edilen kişilerin ihaleye dahil olduğunun anlaşılması halinde, ilgili ihalenin iptal edileceğini ve sorumlular hakkında Cumhuriyet Savcılığı’na suç duyurusunda bulunulacağını açıkladı.









