SGK'dan dev gayrimenkul satışı: 7 ilde 199 mülk ihaleyle satışa çıkıyor!
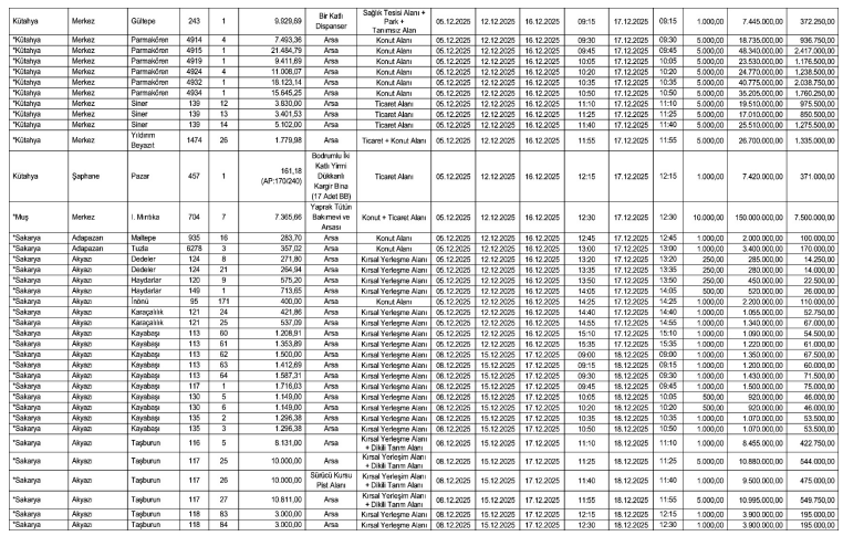
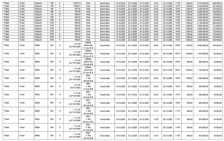
Sosyal Güvenlik Kurumu (SGK), dev bir satış ilanı yayımladı. Kurum; Tokat, Sakarya ve Afyonkarahisar başta olmak üzere toplam 7 ilde bulunan 199 adet arsa, konut ve ticari alanı elektronik ortamda gerçekleşecek ihaleyle satışa çıkarıyor.
Sosyal Güvenlik Kurumu (SGK) Tokat, Sakarya ve Afyonkarahisar başta olmak üzere toplam 7 ilde bulunan 199 adet arsa, konut ve ticari alanı ihaleyle satışa çıkaracağını duyuruyor.
YATIRMCILAR İÇİN BÜYÜK FIRSAT
Satışa konu olan gayrimenkuller arasında imarlı arsalar, konut alanları, ticaret alanları ve karkas binalar bulunuyor. Özellikle yatırımcılar için fırsat niteliği taşıyan bu satışlardan SGK’nın kasasına önemli miktarda nakit girişi sağlanması hedefleniyor.
BAŞVURULAR BU AY BAŞLIYOR
Başvurular Aralık Ayında Başlıyor Yatırımcıların yakından takip ettiği ihale süreci, "Elektronik Satış Portalı" üzerinden şeffaf bir şekilde yürütülecek. Görselde yer alan takvime göre, başvurular 4 Aralık 2025 tarihinde başlayacak. İhaleler ise mülkün niteliğine ve konumuna göre 15-16 Aralık 2025 tarihlerinde, belirlenen saat aralıklarında gerçekleştirilecek.





