Türkiye’de ortalama kira 1.307 TL!
Teknoloji odaklı gayrimenkul değerleme platformu Endeksa, Hürriyet Emlak işbirliği ile 2019 yılı 3'ncü çeyreğine ilişkin kira endeksini yayınladı. 3. çeyrekte kira endeksi Türkiye genelinde bir önceki çeyreğe göre 1,43 puan düşüş gösterdi...
Türkiye genelinde kiralar 2019 yılı 3'ncü çeyreğinde bir önceki çeyreğe göre 1,43, yıl başından bu yana ise 8,22 puan düşüş gösterdi. Önümüzdeki 6 ayda da kiraların Türkiye genelinde 0,11 puan düşmesi bekleniyor. 3. çeyrekte en fazla kiralık arama yapılan bölgeler ise sırasıyla Ankara Batıkent, İstanbul Mecidiyeköy, İstanbul Göztepe, İstanbul Bahçeşehir ve İstanbul Kayaşehir oldu. 3. çeyrekte İstanbul’da en fazla kiralama yapılan ilçenin Beşiktaş, Ankara’da Çankaya, İzmir’de Karşıyaka, Antalya’da Muratpaşa, Bursa’da Nilüfer olduğu görüldü.

Türkiye’de ortalama kira 1.307 TL
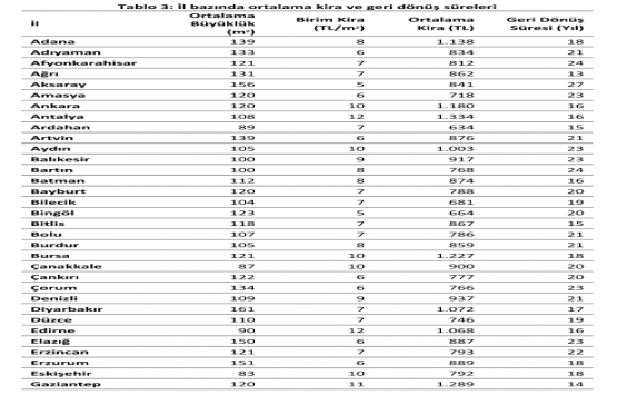
Türkiye genelinde ortalama metrekare kira bedeli 12 TL, ortalama kira 1.307 TL, geri dönüş süresi 18 yıl olarak gerçekleşti. Ülke genelinde konut tipine göre kiralar incelendiğinde, birim kiranın en yüksek ve geri dönüş süresinin en kısa olduğu konut tipinin 1+1 daireler olduğu belirlendi. 3'ncü çeyrek kira endeksinde ortalama değerlerle 1+1 konutların büyüklüğü 65 metrekare ,birim kira 16 TL/metrekare, geri dönüş süresi 16 yıl; 2+1 konutlar 95 metrekare , birim kira 12 TL/ metrekare, geri dönüş süresi 18 yıl; 3+1 konutlar 135 metrekare , birim kira 10 TL/ metrekare , geri dönüş süresi 19 yıl; 4+1 konutlar 193 metrekare, birim kira 11 TL/ metrekare, geri dönüş süresi 20 yıl olarak gerçekleşti.

5 büyük ilde kira değerleri
İstanbul’da kiralar 3'ncü çeyrekte 2'nci çeyreğe göre 2,25 puan düşüş gösterdi, sene sonuna kadar ise 2,17 puan düşüş bekleniyor. İstanbul’da ortalama birim kira 15 TL/metrekare, ortalama kira 1.486 TL, geri dönüş süresi 22 yıl olarak gerçekleşti. Ankara’da kiralar 3'ncü çeyrekte 2'nci çeyreğe göre 1,36 puan artış gösterdi, sene sonuna kadar ise 1,51 puan artış bekleniyor. Ankara’da ortalama birim kira 10 TL/metrekare, ortalama kira 1.180 TL, geri dönüş süresi 17 yıl oldu. İzmir’de kiralar 3'ncü çeyrekte 2:'nci çeyreğe göre 3,14 puan artış gösterdi, sene sonuna kadar ise 3,28 puan artış bekleniyor. İzmir’de ortalama birim kira 13 TL/ metrekare , ortalama kira 1.475 TL, geri dönüş süresi 20 yıl olarak gerçekleşti. Bursa’da kiralar 3'ncü çeyrekte 2'nci çeyreğe göre 3,54 puan artış gösterdi, sene sonuna kadar ise 3,35 puan artış bekleniyor. Bursa’da ortalama birim kira 10 TL/ metrekare , ortalama kira 1.227 TL, geri dönüş süresi 19 yıl oldu. Antalya’da ise kiralar 3'ncü çeyrekte 2'nci çeyreğe göre 10,5 puan artış gösterdi, sene sonuna kadar ise 9,06 puan artış bekleniyor. Antalya’da ortalama birim kira 12 TL/ metrekare , ortalama kira 1.334 TL, geri dönüş süresi 17 yıl olarak gerçekleşti.




Kiralık ev arayanların yüzde 55’i erkek
3'ncü çeyrekte Hüriyet Emlak’ta yapılan kiralık konut arama trendlerine bakıldığında erkeklerin kadınlardan daha fazla arama yaptıkları ve en fazla 25-34 yaş, ardından 34-44 yaş aralığının arama yaptığı görüldü. 3'ncü çeyrekte kiralık arayanların yüzde 55 ini erkekler, yüzde45’ini kadınlar oluşturdu. Arama yapanların yüzde 34’ü 25-34 yaş aralığında, yüzde21’i ise 35-44 yaş aralığında yer aldı.