Uşak Defterdarlığı arsa karşılığı inşaat yapım ihalesi 1 Ağustos'ta!
Uşak Defterdarlığı arsa karşılığı inşaat yapım işi ihale ediyor. İhale 1 Ağustos'ta Uşak Defterdarlığı Milli Emlak Müdürlüğü Makam Odasında yapılacak..
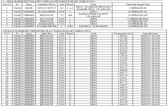
Uşak Defterdarlığı, Uşak Merkez ve Eşme'de yapılacak 7 inşaat yapım işine karşılık Uşak Merkez'e bağlı Kemalöz Mahallesi'ndeki 29 arsayı veriyor. Arsa karşılığı inşaat yapım işi 1 Ağustos'ta yapılacak.
ARSA KARŞILIĞI İNŞAAT YAPIM İŞİ İHALE EDİLECEKTİR
Uşak Defterdarlığından:

AÇIKLAMALAR:
1 - Arsa Karşılığı İnşaat ihalesi 2886 sayılı Devlet İhale Kanunu, Hazine Taşınmazlarının İdaresi Hakkındaki Yönetmelik ve 298 sıra Sayılı Milli Emlak Genel Tebliği Hükümlerine göre 01.08.2018 Tarihinde Çarşamba günü saat 14.00 te Uşak Defterdarlığı Milli Emlak Müdürlüğü Makam Odasında (4. Kat) toplanacak komisyon marifetiyle PAZARLIK USULU ile yapılacaktır.
2 - Tablo 1’de belirtilen taşınmazlar üzerine mevcut projesine göre yapımı planlanan 7 adet okul binasına karşılık Çevre Düzenleme ve KDV Dahil Toplam İnşaat Bedeli 36.235,204,24 TL ile tablo 2’de belirlenen toplam 36.455.699,00 TL tahmini bedelli taşınmazlar arasında Hazine lehine meydana gelen 220.494,76 TL farkın arttırılması suretiyle teklif alınacak ve sözleşme düzenlenmeden önce Hazineye nakden ve peşin olarak ödenecektir.
3 - Okul yapımı için belirlenen taşınmazların zemin etütleri, uygulama projeleri ve inşaat ruhsatının alınması yüklenici tarafından yapılacaktır.
4 - Yüklenicinin yer tesliminden itibaren 120 (yüzyirmi) gün içerisinde; zemin etüdünün yaptırılması tip projesi teknik şartnamesi ve mahal listesi dikkate alınarak okul inşaatı uygulama projelerini (mimari, statik, elektrik, mekanik, çevre tanzim) zemine uygun olarak hazırlanması ve bu süre içerisinde inşaat ruhsatı alınması zorunludur.
5 - Yüklenici taahhüttün tümünü iş yeri teslim tarihinden iklim koşullarına göre 480 veya 600 gün içerinde tamamlanarak geçici kabule hazır hale getirecektir.
6 - Geçici teminat bedeli: 5.468.354,85 (beşmilyondörtyüzaltmışsekizbinüçyüzellidört TL seksenbeş Kr)’dir.
7 - İhale Doküman Bedeli: 500,00 (beşyüz) TL
8 - İhale 4734 Sayılı Kamu İhale Kanununa dahil değildir.
9 - Posta ile yapılacak müracaatlarda teklifin 2886 Devlet İhale Kanunun 37. maddesine uygun hazırlanması ve teklifin ihale saatinden önce komisyona ulaşması şarttır.
İHALEYE KATILACAK İSTEKLİLERDEN İSTENİLEN BELGELER;
a) İhale konusu işe ilişkin şartnamede belirtilen ekonomik ve mali yeterlilik ile mesleki ve teknik yeterliliğin belirlenmesine ilişkin istenen belgeleri,
b) İhale Doküman bedeli olan 500 TL (Beşyüz) nin Muhasebe Müdürlüğüne yatırıldığına ilişkin alındı belgesini,
c) Geçici teminat bedelini nakden veya teminat mektubu ile verebileceği gibi, Nakit yatırılması halinde Uşak Defterdarlığı Muhasebe Müdürlüğüne, Teminat Mektubu verilmesi halinde 2886 sayılı Devlet İhale Kanununa göre düzenlenmiş ve ilgili banka şubesince verilen teminat mektupları toplamı ile aynı şubenin limitlerinin gösterildiği süresiz teminat mektubunu,
d) Yasal yerleşim yerini gösterir belgeyi,
e) Tebligat için Türkiye ‘de adres göstermeleri,
f) Gerçek kişilerin T.C Kimlik numarasını bildirmeleri ve nüfus cüzdanı suretini vermeleri, (Aslı ihale sırasında ibraz edilecektir.), tüzel kişilerin vergi kimlik numaralarını bildirmeleri, Özel Hukuk Tüzel Kişilerinin, İdare merkezlerinin bulunduğu yer Mahkemesinden veya siciline kayıtlı bulunduğu Ticaret ve Sanayi Odasından veya benzeri mesleki kuruluştan, ihalenin yapıldığı yıl içinde alınmış sicil kayıt belgesi ile tüzel kişilik adına ihaleye katılacak veya teklifte bulunacak kişilerin tüzel kişiliği temsile tam yetkili olduklarını gösterir noterlikçe tasdik edilmiş imza sirkülerini veya vekaletnameyi ihale saatine kadar vermeleri; kamu tüzel kişilerinin ise tüzel kişilik adına ihaleye katılacak veya teklifte bulunacak kişilerin tüzel kişiliği temsile yetkili olduğunu belirtir belgeyi,
En geç ihale saatinde Komisyona ibraz etmeleri zorunludur.
* Komisyon ihaleyi yapıp yapmamakta serbesttir.
* Postada meydana gelebilecek gecikmelerden dolayı İdare veya komisyon herhangi bir sorumluluk kabul etmez.
* Bu ihaleye ilişkin bilgiler www.milliemlak.gov.tr web sayfasından görülebilir.