Ankara Büyükşehir, Güney Park Sitesi'ndeki 17 konutu satışa çıkardı!
Ankara Büyükşehir Belediye Başkanlığı, Çankaya'da yer alan 17 konut ve 1 iş yerini satışa çıkardı. İşte ihale ile ilgili detaylar...
Ankara Büyükşehir Belediye Başkanlığı, Çankaya'da yer alan 17 konut ve 1 iş yeri için satış ihalesi düzenliyor.
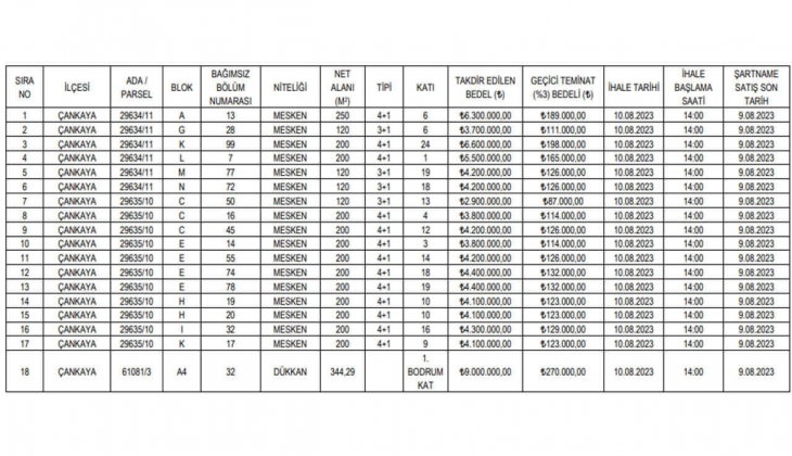
Resmi Gazete'de yayımlanan ihale ilanına göre, Çankaya Güney Park Sitesindeki 17 adet konutun ve Gordion Konutlarındaki 1 adet dükkanın satış ihalesi 9 Ağustos 2023 tarihinde yapılacak. Satışa çıkarılan konutlar 3 oda 1 salonve 4 oda 1 salon olarak belirtildi.
Söz konusu konutların muhammen bedellleri 2 milyon 900 bin TL ile 6 milyon 300 bin TL arasında, geçici teminat bedeleri ise 87 bin TL ile 198 bin TL arasında değişiyor.
Satışa çıkarılan dükkanın ise muhammen bedeli 9 milyon TL, geçici teminat bedeli ise 270 bin TL olarak belirlendi.

TAŞINMAZLAR SATILACAKTIR
Ankara Büyükşehir Belediye Başkanlığından:
Çankaya İlçesi Güney Park Sitesinde 17 Adet Konutun ve Gordion Konutlarında 1 Adet Dükkanın Satışı İhale Edilecektir.
10.08.2023 TARİHİNDE İHALESİ GERÇEKLEŞTİRİLECEK OLAN TAŞINMAZLAR

Mülkiyeti, Belediyemize ait yukarıda yazılı listede yer alan taşınmazların; 2886 sayılı Devlet İhale Kanununun hükümlerine göre peşin perakende (tek
tek) mülkiyet satışı yapılacaktır.
1- İstekliler; İhale Şartnamesini ve diğer eklerini, mesai saatleri içerisinde; Emniyet Mah. Hipodrom Caddesi No:5 Yenimahalle / Ankara adresinde
bulunan Ankara Büyükşehir Belediyesi, Yeni Hizmet Binasının 14. Katındaki Emlak ve İstimlâk Dairesi Başkanlığı, Yeni Yerleşimler Şube Müdürlüğü’nde görebilir ve ‘‘Taşınmaz Mal Satış Şartnamesini’’ 1.000,00 TL (Bin Türk Lirası) (KDV Dahil) ücret karşılığında en geç 09/08/2023 Çarşamba günü saat 16.00’ya kadar satın alabilirler. Ayrıca ihale ilan bilgilerine www.ankara.bel.tr adresinden ulaşılabilir.
2- İhale; 10/08/2023 Perşembe günü saat 14.00’te; Ankara Büyükşehir Belediyesi, Yeni Hizmet Binası, Emniyet Mah. Hipodrom Caddesi No:5 Kat 1 Yenimahalle / ANKARA adresinde bulunan Encümen Salonunda, Belediye Encümenince yapılacaktır.
3- Teklif mektupları, en geç 10/08/2023 Perşembe günü saat 12.00’ye kadar sıra numaralı makbuz mukabilinde ihaleyi / artırmayı yapacak Ankara Büyükşehir Belediyesi, Yeni Hizmet Binası, Emniyet Mah. Hipodrom Caddesi No:5 Kat 7 Yenimahalle / ANKARA adresinde bulunan Yazı İşleri ve Kararlar Dairesi Başkanlığı’na verilecektir. Teklifler, iadeli taahhütlü olarak da gönderilebilir. Posta ile gönderilecek tekliflerin ilanda belirtilen saate kadar İhale Komisyonu Başkanlığına ulaşması şarttır. Postadaki gecikme nedeniyle işleme koyulmayacak olan tekliflerin alınış zamanı bir tutanakla tespit edilir. İhale Komisyon Başkanlığına verilen teklifler herhangi bir sebeple geri alınamaz.
4- İstekliler, Şartnamenin 2. maddesinde yazılı ‘‘İhaleye girebilmek için isteklilerde aranan şartları’’ sağlamak zorundadır. Şartnameye uygun olmayan veya içinde şartname hükümleri dışında şartlar ihtiva eden teklifler geçersiz sayılacaktır. Buna göre İsteklilerde aranacak bilgi ve belgeler;
- Kimlik ve Yetki Belgeleri,
- İkametgâh Belgesi,
- Teminat Alındı Makbuzu veya Banka Teminat Mektubu,
- Yer Görme Belgesi,
- Şartname Alındı Makbuzu,
- Teklif Mektubu,
- Taşınmaz Mal Satış Şartnamesi,
- İhalelerden Yasaklı Olmadığına Dair Beyan
5- İhalenin Alıcıya 2886 sayılı Kanununun 32. maddesine göre tebliğ tarihinden itibaren 15 (On beş) gün içinde; ALICI satış bedelinin tamamını,
şartnamenin 15. maddesinde belirtilen (tapu harçları hariç) damga vergisi, karar pulu ve diğer giderlerle birlikte Mali Hizmetler Dairesi Başkanlığı veznelerine
veya İdarenin banka hesaplarına peşin olarak ödeyecektir. Ödemeler yapıldıktan sonra ihale konusu taşınmazın / taşınmazların ALICI adına tapu devri
yapılarak, Geçici Teminatları iade edilecektir. Yukarıda belirtilen yükümlülükleri ALICI yerine getirmediği takdirde, protesto çekmeye ve hüküm almaya
gerek kalmaksızın ihale bozulur ve geçici teminat gelir kaydedilir.
6- İhale Komisyonu (ENCÜMEN) gerekçesini karar içerisinde belirtmek koşulu ile ihaleyi yapıp yapmamakta serbesttir. ENCÜMEN’ce uygun
görülerek karara bağlanan ihale kararı ise, İta Amiri’nin ONAY’ını takiben geçerlilik kazanacağı gibi, İta Amirinin ihaleyi onaylamayıp iptal etmesi halinde
istekli, idareye karşı herhangi bir hak iddiasında bulunamaz.
7- İş bu ihale ilanı genel bilgi mahiyetinde olup, satışta ihale şartnamesi hükümleri uygulanacaktır.

Belediye sanayi, konut ve ticaret imarlı 3 arsa satacak!
Cumhurbaşkanı Erdoğan müjdeyi vermişti: SSK, Bağ-kur emeklisine ek zam geldi mi?