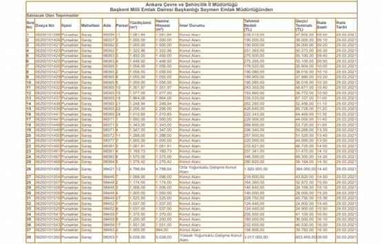
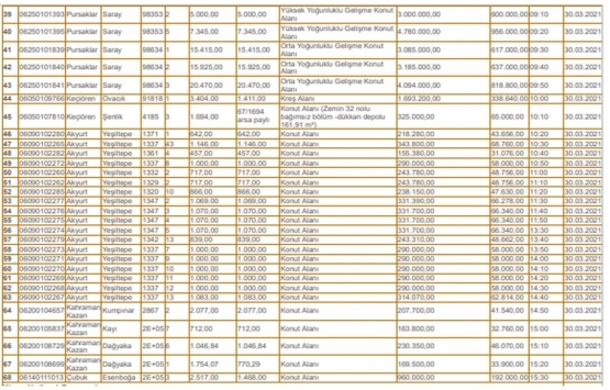
Ankara Çevre ve Şehircilik İl Müdürlüğü'nden satılık 96 gayrimenkul!
Ankara Çevre ve Şehircilik İl Müdürlüğü, Ankara ili, Pursaklar, Keçiören, Akyurt, Kahramankazan, Çubuk, Altındağ, Mamak, Kalecik ve Gölbaşı ilçelerinde yer alan 96 gayrimenkulü satıyor...
Ankara Çevre ve Şehircilik İl Müdürlüğü tarafından, Ankara ili, Pursaklar, Keçiören, Akyurt, Kahramankazan, Çubuk, Altındağ, Mamak, Kalecik ve Gölbaşı ilçelerinde yer alan 96 gayrimenkul satışa sunuldu. Gayrimenkullerin satış ihalesi 29 Mart tarihinde gerçekleştirilecek.

İlan metni:




1-Yukarıda nitelikleri belirtilen taşınmazlar ; karşılarında belirtilen Tarih ve Saatlerinde,
Seymen, Ulus ve Anıt Emlak Müdürlüklerince kurulacak komisyon huzurunda ; Satılacak ve Kiralanacak olan taşınmazlar 2886 sayılı Kanunun 45.maddesi uyarınca açık teklif usulü ile irtifak hakkı verilecek taşınmaz da aynı kanunun 51/g maddesi uyarınca pazarlık usulü ile, ayrı ayrı sırasıyla ihalesi yapılacaktır. ADRES: İzmir-1 Cadde No:35 Kızılay/Çankaya/ANKARA adresindeki Çevre ve Şehircilk İl Müdürlüğü Ek Hizmet Binası İhale Salonunda.
2-İhaleye katılacak isteklilerin ;
a) Geçici Teminat Bedelinin Defterdarlık Muhasebe Müdürlüğüne yatırıldığına dair makbuzun, (2886 Sayılı Kanunun 26.maddesinde belirtilen değerlerden herhangi biri olabilir. Banka Teminat Mektubunun verilmesi halinde "Teminat Mektubunun Geçici, Süresiz, Limit içi olması" ve Teyit yazısı'nın da ibrazı gerekir.)
b) Gerçek kişilerin ; Yasal yerleşim yeri belgesini (İkametgah ilmuhaberi) ile Arkalı-Önlü TC no.lu Nüfus Cüzdanı fotokopisinin,
c) Tüzel kişilerin ; İdare merkezlerinin bulunduğu yer mahkemesinden veya siciline kayıtlı bulunduğu ticaret veya sanayi odasından yahut benzeri mesleki kuruluştan, ihalenin yapıldığı yıl içinde alınmış sicil kayıt belgesi ile tüzel kişilik adına ihaleye katılacak veya teklifte bulunacak kişilerin temsile tam yetkili olduklarını gösterir noterlikce tastik edilmiş yetki belgesi ve imza sirkülerinin veya Vekaletname verilmesi halinde belge aslının veya noterlikçe tasdik edilmiş örneğinin ve vergi sicil nosunu gösterir belgenin,
İhale başlama saatine kadar Komisyon Başkanlığına verilmesi zorunludur.
3-Hayat Eve Sığar (HES) Uygulamasında veya E-Devlet üzerinden HES kodları sorgusunda durumlarının RİSKLİ OLMAMASI ve bu durumu ihale saatinde ispatlamaları gerekmektedir.
4-Satılacak taşınmazların ihale bedeli peşin ödenebileceği gibi,talep üzerine, ihale bedelinin 5.000,00-TL geçmesi halinde, 1/4'ü peşin, kalan kısma yıllık kanuni faiz uygulanmak suretiyle en fazla iki yılda, üçer aylık dilimler halinde 8 eşit taksitlendirme yapılabilecektir.
5-Kiralanacak taşınmazda ihale bedeli peşin ödeneceği gibi 1/4 dü peşin geri kalan kısım üçer aylık dönemler halinde üç taksitte tahsil edilecektir. Ayrıca ihale bedeli üzerinden; Kati Teminat, Damga Vergisi ve Karar Pulu Bedeli alınacaktır.
6-İrtifak hakkı bedeli peşin ödenebileceği gibi, ön izin istenilmesi halinde ihale bedelinin %20 si peşin olarak tahsil edilecektir. Ayrıca ihale bedeli üzerinden ; Kati Teminat ve Karar Pulu Bedeli alınacaktır.
7-4706 sayılı Kanun gereğince Hazine ait taşınmazlarının satış işlemleri ve işlemler sırasında düzenlenen belgeler vergi, resim ve harçdan (KDV, Karar Pulu) müstesna olup, satışı yapılan taşınmazlar satış tarihini takip eden yıldan itibaren 5 yıl süreyle Emlak Vergisine de tabi değildir.
8-Taşınmazlara ait şartnameler mesai saatleri içerisinde ilgili Emlak Müdürlüklerinde görülebilir.
9-Posta yolu ile verilecek tekliflerde gecikmeler kabul edilmeyecektir.
10-Komisyon İhaleyi yapıp yapmamakta serbesttir.
Ayrıca ;Türkiye genelindeki ihale bilgileri www.milliemlak.gov.tr adresinden öğrenilebilinir."(TEL: 0312 417 71 71) İLAN OLUNUR.
İlan için tıklayın