Ankara'da 25 lojman ve 1 dükkan satılıyor! 110 bin TL'den başlayan fiyatlarla...
Ankara'da Hazine'ye ait 25 adet kamu konutu ve 1 adet dükkan satışa sunuldu. Peki satışa sunulan kamu konutlarının ve dükkanın fiyatları ne kadar? İşte ayrıntılar...
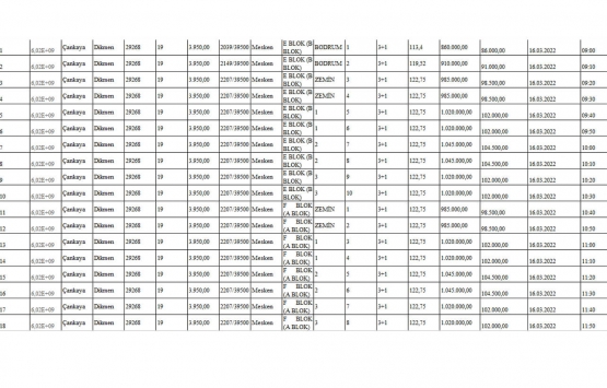
İlan metni:


Yukarıda nitelikleri belirtilen taşınmazların (kamu konutları) ; karşılarında belirtilen tarih ve saatinde Anıt Emlak ve Seymen Emlak Müdürlüklerince İzmir-1 Cad. No:35 (İhale Salonu) Kızılay/Çankaya/ANKARA adresinde oluşturulacak Komisyon huzurunda; 2886 sayılı Kanunun 45.maddesi uyarınca açık teklif usulü ile ayrı ayrı satış ihalesi yapılacaktır.
1-İhaleye katılacak isteklilerin ;
a) Geçici Teminat Bedelinin Muhasebe Müdürlüklerine veya Malmüdürlüklerine yatırıldığına dair makbuzun, Teminat Bedelinin Banka aracılığı ile ödenmesi halinde ise Muhasebe Müdürlüğünden alınacak Muhasebe İşlem Fişinin (2886 sayılı Kanunun 26.maddesinde belirtilen değerlerden herhangi biri olabilir. Banka Teminat Mektubunun verilmesi halinde "Teminat Mektubunun Geçici, Süresiz, Limit içi olması" ve Teyit yazısı'nın da ibrazı gerekir.) ihale başlama saatine kadar komisyon başkanlığına teslim edilmesi zorunludur.
b) Gerçek kişilerde: Yasal yerleşim yeri belgesi (İkametgah ilmuhaberleri), tebligat için Türkiye'de adres göstermeleri ve T.C. kimlik numarasını gösterir nüfus cüzdan fotokopisi,
c) Tüzel kişilerin;
1- İdare merkezlerinin bulunduğu yer mahkemesinden veya siciline kayıtlı bulunduğu ticaret veya sanayi odasından yahut benzeri mesleki kuruluştan, ihalenin yapıldığı yıl içinde alınmış sicil kayıt belgesi,
2- Tüzel kişilik adına ihaleye katılacak veya teklifte bulunacak kişilerin tüzel kişiliği temsile tam yetkili olduklarını gösterir noterlikçe tastik edilmiş vekaletname,
3- Kamu Tüzel Kişilerinin ise belirtilen şartlardan ayrı olarak tüzel kişilik adına ihaleye katılacak veya teklifte bulunacak kişilerin tüzel kişiliği temsile yetkili olduğunu belirtir belgenin,
İhale saatine kadar Komisyon Başkanlığına verilmesi gerekmektedir.
2- 4706 sayılı Kanunun 7 nci maddesinin dördüncü fıkrası ile 3065 sayılı Katma Değer Vergisi Kanununun 17 nci maddesinin dördüncü fıkrasının (p) bendi gereğince, mülkiyeti Hazineye ait kamu konutlarının satış ve devir işlemleri ve bu işlemler sırasında düzenlenen belgeler, vergi, resim ve harçtan müstesnadır. Satışı yapılan kamu konutu, satış tarihini takip eden yıldan itibaren beş yıl süre ile emlak vergisine tâbi tutulmaz.

3- (1) Kat mülkiyeti veya kat irtifakı kurulan kamu konutlarından ihalenin yapıldığı tarihte; adlarına görev, sıra ve hizmet tahsisli kamu konutu tahsis edilen (şartlı tahsisler dahil) ve fiilen konutta oturanlar öncelikli alım hakkına sahiptir.
(2) Öncelikli alım hakkı sahibinin kamu konutunu satın almak istemediğini bildirmesi, süresi içerisinde herhangi bir bildirimde bulunmaması ya da yükümlülüklerini yerine getirmemesi halinde, en yüksek teklifi veren istekli tarafından satış bedeli peşin veya Kanunun 5 inci maddesinin birinci fıkrasında belirtilen şekilde en az dörtte biri peşin, kalanı en fazla iki yılda ve taksitlerle kanunî faizi ile birlikte ödenebilir.
(3) Öncelikli alım hakkı sahibinin; kamu konutunu satın almak istemesi ve süresi içerisinde satış bedelini peşin olarak ödemesi veya peşinatı ödeyerek Taksitli Satış Sözleşmesini imzalaması halinde bu durum İhalede en yüksek teklifi veren isteklisine bildirilir.
(4) Bedelin yetkili kredi kuruluşlarından kredi temin edilerek ödenmek istenilmesi halinde, alıcı tarafından kredi kuruluşu ile yapılan kredi sözleşmesi veya kredi açıldığına dair kredi kuruluşunun resmî yazısı verilir ve kredi kuruluşu tarafından bedel ilgili muhasebe biriminde açılacak emanet hesabına aktarılması halinde İdarece, tapu müdürlüklerine kredi kuruluşu lehine ipotek tesis edilmesi ve alıcı adına tescil işleminin yapılması hususu yazıyla bildirilir.
4- 4706 sayılı Kanunun 4. maddesi gereği ihale tarihine kadar kurumlarınca bildirilenler yasa gereği öncelikli alım hakkı sahibi sayılacaktır.
5- Çevre, Şehircilik ve İklim Değişikliği Bakanlığı Döner Sermaye İşletmesi Yönetmeliğinde DeğişiklikYapılmasına Dair Yönetmelik gereğince, Döner Sermaye İşletmesi Müdürlüğü tarafından, Hazine taşınmazlarının; satış işlemlerinde satış bedeli, sınırlı ayni hak tesisi (irtifak hakkı) ve kullanma izni verilmesi işlemlerinde yıllık bedeller, üzerinden işlem bedeli: 5 Milyon TL'ye kadar olan kısmı için % 1 (yüzde bir), 5 Milyon TL'den 10 Milyon TL'ye kadar olan kısmı için % 0.5 (binde beş),10 Milyon TL'yi aşan kısmı için % 0.25 (on binde yirmi beş) tahsil edilecektir.
6- İhale şartnameleri mesai saatleri içerisinde Anıt Emlak Müdürlüğü ve Seymen Emlak Müdürlüklerinde görülebilir. İhaleye katılacak olup ihaleyi alan müşteri, taşınmazın satış ihalesi şartnamesinde yazılan hükümlere uymakla mükelleftir.
7- İhaleye katılacakların COVİD-19 tedbirleri kapsamında HES kodu almaları gerekmektedir.
8- İhaleye iştirak edecek isteklilerin ihale salonu ile İdare binasının içinde ve çevresinde Covid-19 tedbirleri gereğince maske kullanmaları ve sosyal mesafe kurallarına uymaları önem arz etmektedir.
9- Posta yolu ile verilecek tekliflerde gecikmeler kabul edilmeyecektir.
10- Komisyon İhaleyi yapıp yapmamakta serbesttir.
Ayrıca ; "Bu ihaleye ilişkin bilgiler ankara.csb.gov.tr adresinden öğrenilebileceği gibi, Türkiye genelindeki ihale bilgileri www.milliemlak.gov.tr adresinden öğrenilebilinir."