Antalya'da 14.2 milyon TL'ye satılık 3 gayrimenkul!
Antalya Büyükşehir Belediye Başkanlığı, Güneş Mahallesi'nde yer alan 3 gayrimenkulü 14 milyon 242 bin TL olarak belirlendi.
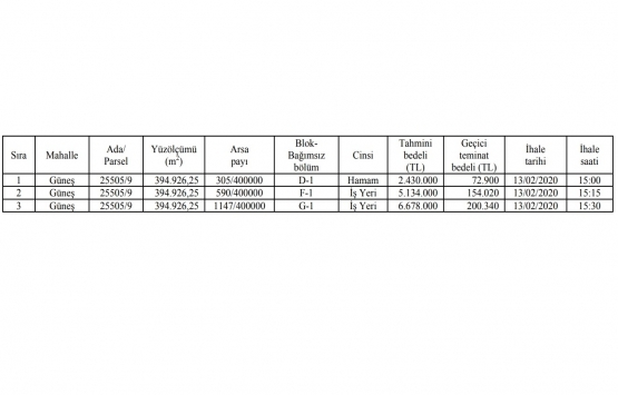
Antalya Büyükşehir Belediye Başkanlığı, Güneş Mahallesi'nde yer alan 3 gayrimenkulü satışa çıkardı. Gayrimenkullerin toplam satış bedeli 14 milyon 242 bin TL olarak belirlendi.
TAŞINMAZ MALLAR SATILACAKTIR
Antalya Büyükşehir Belediye Başkanlığından:
1- İHALENİN KONUSU: Antalya Büyükşehir Belediyesi mülkiyetinde Kepez İlçesi Güneş Mahallesinde bulunan aşağıda belirtilen taşınmaz mallar 2886 sayılı Devlet İhale Kanununun 35/a maddesine göre kapalı teklif ihale usulü ile satılacaktır. Satılacak taşınmazların; 
2- Şartnameler Emlak ve İstimlak Dairesi Başkanlığı’ndan (Emlak Şube Müdürlüğü) mesai saatleri içinde temin edilebilir.
3- İhaleler Antalya Büyükşehir Belediyesi Encümen Toplantı Salonunda yapılacaktır.
4- İhaleye katılacak gerçek veya tüzel kişilerden aşağıdaki şartlar aranır.
GERÇEK KİŞİLERDEN:
4.1- Kanuni ikametgâhı ve nüfus cüzdanı fotokopisi olması,
4.2- Türkiye’de tebligat için adres göstermesi,
4.3- İstekliler adına vekâleten ihaleye iştirak ediliyor ise, istekli adına teklifte bulunacak kimselerin vekâletnameleri,
4.4- Geçici teminat makbuzunu veya geçici teminat mektubunu vermesi.
TÜZEL KİŞİLERDEN:
4.5- Tüzel kişiliğin bulunduğu yerin Ticaret ve Sanayi Odasından veya benzeri bir makamdan, 2020 yılı içinde alınmış, tüzel kişiliğin siciline kayıtlı olduğunu gösterir belge (Türkiye’de şubesi bulunmayan yabancı tüzel kişiliğinin belgelerinin, bu tüzel kişiliğinin bulunduğu ülkedeki Türk Konsolosluğunca
veya Türkiye Dışişleri Bakanlığınca onaylanmış olması gerekir.)
4.6- Tebligat için adres beyanı ve ayrıca irtibat için telefon ve faks numarası ile elektronik posta adresi.
4.7- Tüzel kişiliğin noter tasdikli imza sirküleri (Türkiye’de şubesi bulunmayan yabancı tüzel kişiliğin sirkülerinin bu tüzel kişiliğin bulunduğu ülkedeki Türk Konsolosluğunca ve Türkiye Dışişleri Bakanlığınca onaylanmış olması gerekir.)
4.8- İstekliler adına vekâleten ihaleye iştirak ediliyor ise, istekli adına teklifte bulunacak kimselerin vekâletnameleri ile noter tasdikli imza sirküleri vermesi (Türkiye’de şubesi bulunmayan yabancı tüzel kişilerin vekâletnamelerinin bulunduğu ülkedeki Türk Konsolosluğunca veya Türkiye Dışişleri Bakanlığınca onaylanmış olması gerekir.)
4.9- Geçici teminat makbuzunu veya geçici teminat mektubunu vermesi.
5- Belediyemiz ihaleyi yapıp yapmamakla ve arttırmada en uygun bedeli tespitte serbesttir.
6- Posta ile yapılacak başvuruların ihale saatinden önce ihale komisyonuna ulaşması şarttır.
İLAN OLUNUR.