Balıkesir Milli Emlak'tan 24.2 milyon TL'ye satılık 20 konut!
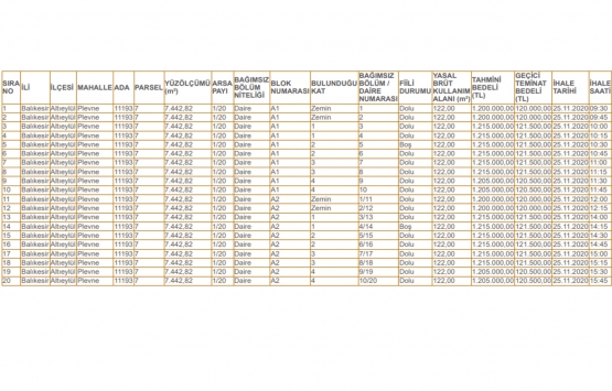
Balıkesir Milli Emlak Müdürlüğü, Balıkesir ili, Altıeylül ilçesi, Plevne Mahallesi, 11193 ada, 7 parselde yer alan 20 kamu konutunu 24 milyon 200 bin TL'ye satıyor.
Balıkesir Milli Emlak Müdürlüğü tarafından Balıkesir ili, Altıeylül ilçesi, Plevne Mahallesi, 11193 ada, 7 parselde yer alan 20 kamu konutu 20 milyon 200 bin TL muhammen bedel ile satışa sunuldu. Gayrimenkullerin satış ihalesi 25 Kasım'da gerçekleştirilecek.
İlan metni:

Balıkesir İlinde bulunan ve yukarıda nitelikleri belirtilen taşınmazlar (kamu konutları); karşılarında belirtilen tarih ve saatinde Balıkesir Çevre ve Şehircilik İl Müdürlüğü Kuvayi Milliye Mahallesi Karanfil Sokak No:1 adresi toplantı salonunda oluşturulacak komisyon huzurunda; 2886 sayılı Kanun'un 45.maddesi uyarınca açık teklif usulü ile ayrı ayrı satış ihalesi yapılacaktır.
a) Geçici Teminat Bedelinin Balıkesir Defterdarlığı Muhasebe Müdürlüğüne yatırıldığına dair makbuzun, (2886 sayılı Kanunun 26.maddesinde belirtilen değerlerden herhangi biri olabilir. Banka Teminat Mektubunun verilmesi halinde "Teminat Mektubunun Geçici, Süresiz, Limit içi olması" ve Teyit Yazısının da ibrazı gerekir.)
b) Gerçek kişilerin ; Yasal yerleşim yeri belgesini (İkametgah ilmuhaberi) ile Nüfus kayıt örneği veya arkalı-önlü nüfus cüzdanı fotokopisinin,
c) Tüzel kişilerin;
1- İdare merkezlerinin bulunduğu yer mahkemesinden veya siciline kayıtlı bulunduğu ticaret veya sanayi odasından yahut benzeri mesleki kuruluştan, ihalenin yapıldığı yıl içinde alınmış sicil kayıt belgesi,
2- Tüzel kişilik adına ihaleye katılacak veya teklifte bulunacak kişilerin temsile tam yetkili olduklarını gösterir noterlikce tastik edilmiş yetki belgesi ve imza sirkülerinin veya Vekaletname verilmesi halinde belge aslının veya noterlikçe tasdik edilmiş örneğinin,
3- Kamu Tüzel Kişilerinin ise belirtilen şartlardan ayrı olarak tüzel kişilik adına ihaleye katılacak veya teklifte bulunacak kişiliği temsile yetkili olduğunu belirtir belgenin,
İhale saatine kadar Komisyon Başkanlığına verilmesi gerekmektedir.
1-4706 sayılı Kanunun 7 nci maddesinin dördüncü fıkrası ile 3065 sayılı Katma Değer Vergisi Kanununun 17 nci maddesinin dördüncü fıkrasının (p) bendi gereğince, mülkiyeti Hazineye ait kamu konutlarının satış ve devir işlemleri ve bu işlemler sırasında düzenlenen belgeler, vergi, resim ve harçtan müstesnadır. Satışı yapılan kamu konutu, satış tarihini takip eden yıldan itibaren beş yıl süre ile emlak vergisine tâbi tutulmaz.
2- (1) Kat mülkiyeti veya kat irtifakı kurulan kamu konutlarından ihalenin yapıldığı tarihte; adlarına görev, sıra ve hizmet tahsisli kamu konutu tahsis edilen (şartlı tahsisler dahil) ve fiilen konutta oturanlar öncelikli alım hakkına sahiptir.
(2) Öncelikli alım hakkı sahibinin kamu konutunu satın almak istemediğini bildirmesi, süresi içerisinde herhangi bir bildirimde bulunmaması ya da yükümlülüklerini yerine getirmemesi halinde, en yüksek teklifi veren istekli tarafından satış bedeli peşin veya Kanunun 5 inci maddesinin birinci fıkrasında belirtilen şekilde en az dörtte biri peşin, kalanı en fazla iki yılda ve taksitlerle kanunî faizi ile birlikte ödenebilir.
(3) Öncelikli alım hakkı sahibinin; kamu konutunu satın almak istemesi ve süresi içerisinde satış bedelini peşin olarak ödemesi veya peşinatı ödeyerek Taksitli Satış Sözleşmesini imzalaması halinde bu durum İhalede en yüksek teklifi veren isteklisine bildirilir.
(4) Bedelin yetkili kredi kuruluşlarından kredi temin edilerek ödenmek istenilmesi halinde, alıcı tarafından kredi kuruluşu ile yapılan kredi sözleşmesi veya kredi açıldığına dair kredi kuruluşunun resmî yazısı verilir ve kredi kuruluşu tarafından bedel ilgili muhasebe biriminde açılacak emanet hesabına aktarılması halinde İdarece, tapu müdürlüklerine kredi kuruluşu lehine ipotek tesis edilmesi ve alıcı adına tescil işleminin yapılması hususu yazıyla bildirilir.
3- 4706 sayılı Kanunun 4. maddesinin "(Ek fıkra : 28/112017 - 7061/58md.)" gereği ihale tarihine kadar kurumlarınca bildirilenler yasa gereği öncelikli alım hakkı sahibi sayılacaktır.
4- İhale Şartnameleri mesai saatleri içerisinde Balıkesir Çevre ve Şehircilik İl Müdürlüğünde (Milli Emlak Müdürlüğü) bedelsiz görülebilir.
5- Halen ihalelere katılmaktan yasaklı olanlar kendi adlarına veya vekaleten ihaleye katılamazlar. Bu kişiler adına ihale yapılmış olsa bile ihale iptal edilir.
6-Posta yolu ile verilecek tekliflerde gecikmeler kabul edilmeyecektir.
7-Komisyon gerekçesini açıklayarak İhaleyi yapıp yapmamakta serbesttir.
8- İhaleye iştirak edecek isteklilerin ihale salonu ile İdare binasının içinde ve çevresinde Covid-19 tedbirleri gereğince maske kullanmaları ve sosyal mesafe kurallarına uymaları, ayrıca Kurumumuza girişte HES KOD'larını beyan etmeleri önem arz etmektedir.
Bilgi İçin : 0 266 224 47 15