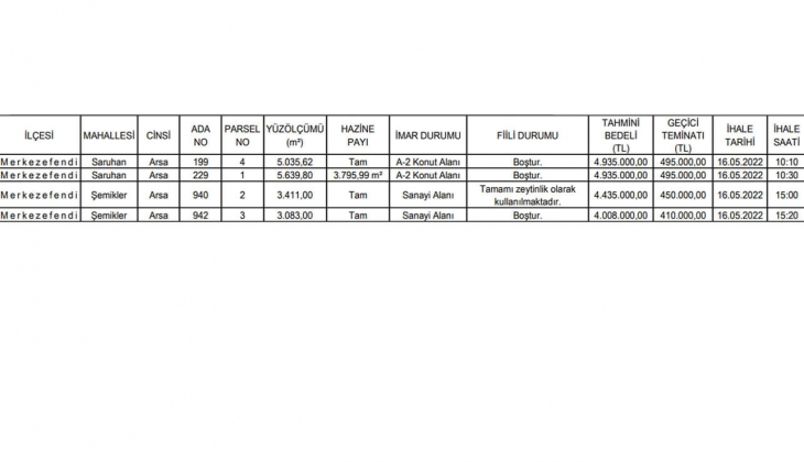
Denizli Milli Emlak'tan yüzde 20 indirim ve taksit fırsatıyla satılık 4 arsa! 4 milyon TL'den başlayan fiyatlarla...
Denizli Çınar Milli Emlak Müdürlüğü, Denizli ili, Merkezefendi ilçesi, Saruhan Mahallesi'nde yer alan 4 arsayı 4 milyon TL'den başlayan fiyatlarla, yüzde 20 indirim ve taksit imkanıyla satıyor...
TAŞINMAZLAR SATILACAKTIR
Denizli Çevre, Şehircilik ve İklim Değişikliği İl Müdürlüğü Çınar Milli Emlak Müdürlüğünden:

1- Yukarıdaki tabloda bilgileri yer alan taşınmazların satış ihaleleri, tablonun ilgili sütunlarında belirtilen tarih ve saatlerde 2886 sayılı Devlet İhale Kanununun 45. maddesine göre Açık Teklif Usulü ile yapılacaktır.
2 - İhaleler, Çevre Şehircilik ve İklim Değişikliği İl Müdürlüğü hizmet binasının zemin katındaki Şehit Astsubay Ömer Halisdemir Toplantı Salonunda toplanacak Komisyon huzurunda yapılacaktır. Komisyon ihaleyi yapıp yapmamakta serbesttir.
3- İhalelere katılabilmek için isteklilerin; aslını ibraz etmek suretiyle nüfus cüzdanı örneğini, 2022 yılında alınmış İkametgâh Belgesini ve geçici teminata ilişkin belgeyi, Tüzel Kişilerin ise ayrıca, siciline kayıtlı olduğu (Ticaret Odası, Esnaf Odası vb.) yerden alacakları yılı içinde onaylı oda sicil kaydı ve tüzel kişilik adına ihaleye katılacak kişiye verilmiş noter onaylı yetki belgesini, ihale saatine kadar komisyona vermeleri gerekmektedir.
4- Bankalar ve Özel Finans Kurumlarınca verilen (süresiz) geçici teminat mektupları kabul edilmektedir. Ayrıca, Geçici Teminat tutarları ihale tarihlerinde İl Müdürlüğümüz Hizmet Binasının zemin katındaki vezneye de yatırılabilecektir. Bankalardan veya Özel Finans Kurumlarından hesaba para yatırma, havale, EFT gibi yollarla yapılan ödemelerin teminat olarak kabul edilebilmesi için ihale tarihinden en az 1 (bir) gün önce bu işlemin gerçekleşmesi ve Defterdarlık Muhasebe Müdürlüğünden alınacak Muhasebe İşlem Fişinin ihale saatinden önce komisyona ibraz edilmesi şarttır.
5- İsteklilerin, 2886 sayılı Kanunun 37. maddesine uygun olarak düzenleyecekleri teklif mektuplarını ihalenin başlama saatine kadar İhale Komisyonu Başkanlığına teslim etmeleri veya ihalenin başlama saatine kadar İhale Komisyonu Başkanlığına ulaşacak şekilde iadeli taahhütlü posta ile göndermeleri gerekmektedir. Postada meydana gelecek gecikmeler halinde teklif işleme alınmaz.
6- Taşınmazların ihale bedeli üzerinden azalan oranlı döner sermaye ücreti alınacaktır. Döner Sermaye ücreti hesaplaması şartnamelerde açıklanmıştır.
7- Hazinece satışı yapılan taşınmaz mal satış ve irtifak hakkı ihaleleri Katma Değer Vergisinden ve satış tarihini takip eden yıldan itibaren 5 yıl süreyle Emlak Vergisinden muaftır. Ayrıca, satış ve devir işlemleri ile bu işlemler sırasında düzenlenen belgeler vergi, resim ve harçtan müstesna tutulmuştur.
8- Satış bedelinin peşin ödenmek istenmesi halinde %20 oranında indirim uygulanacaktır. Talep edilmesi halinde satış bedelinin taksitle ödenmesi mümkündür.
9- Şartnameler ve ekleri mesai saatleri içinde Çınar Milli Emlak Müdürlüğünde bedelsiz görülebilir.
10 - Türkiye genelindeki ihale bilgileri http://www.milliemlak.gov.tr internet adresinden, Denizli İlindeki ihale bilgileri http://www.denizli.csb.gov.tr internet adresinden öğrenilebilir. İlan olunur