Denizli'de 52.3 milyon TL'ye satılık 8 gayrimenkul!
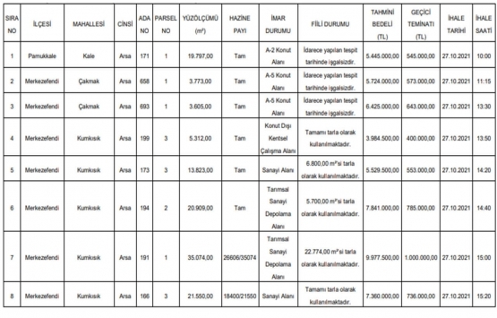
Denizli Çevre ve Şehircilik İl Müdürlüğü, Denizli Merkezefendi ve Pamukkale'de yer alan 8 adet gayrimenkulü 52 milyon 286 bin 500 TL bedelle satışa çıkardı.
Denizli Çevre ve Şehircilik İl Müdürlüğü, Denizli Merkezefendi ve Pamukkale'de yer alan 8 adet gayrimenkulü satışa çıkardı. Gayrimenkullerin toplam satış bedeli 52 milyon 286 bin 500 TL olarak belirlendi.
TAŞINMAZLAR SATILACAKTIR
Denizli Çevre ve Şehircilik İl Müdürlüğünden (Çınar ve Gökpınar Milli Emlak Müdürlükleri):

1 - Yukarıdaki tabloda bilgileri yer alan taşınmazların satış ihaleleri, tablonun ilgili sütunlarında belirtilen tarih ve saatlerde, 2886 sayılı Devlet İhale Kanununun 45. maddesine göre Açık Teklif Usulü ile yapılacaktır.
2 - İhaleler, Çevre ve Şehircilik İl Müdürlüğü hizmet binasının zemin katındaki Şehit Astsubay Ömer Halisdemir Toplantı Salonunda toplanacak Komisyonlar huzurunda yapılacaktır. Komisyonlar ihaleyi yapıp yapmamakta serbesttir.
3 - İhalelere katılabilmek için isteklilerin; aslını ibraz etmek suretiyle nüfus cüzdanı örneğini, İkametgâh Belgesini ve geçici teminata ilişkin belgeyi, Tüzel Kişilerin ise ayrıca, siciline kayıtlı olduğu (Ticaret Odası, Esnaf Odası vb.) yerden alacakları yılı içinde onaylı oda sicil kaydı ve tüzel kişilik adına ihaleye katılacak kişiye verilmiş noter onaylı yetki belgesini, ihale saatine kadar komisyona vermeleri gerekmektedir.
4 - Bankalar ve Özel Finans Kurumlarınca verilen (süresiz) geçici teminat mektupları kabul edilmektedir. Ayrıca, Geçici Teminat tutarları Defterdarlık Muhasebe Müdürlüğüne yatırılabileceği gibi ihale tarihlerinde İl Müdürlüğümüz Hizmet Binasının zemin katındaki vezneye de yatırılabilecektir. Bankalardan veya Özel Finans Kurumlarından hesaba para yatırma, havale, EFT gibi yollarla yapılan ödemelere ilişkin dekont vb. belgeler
geçici teminat belgesi olarak kabul edilmeyecektir.

5 - İsteklilerin, 2886 sayılı Kanunun 37. maddesine uygun olarak düzenleyecekleri teklif mektuplarını ihalenin başlama saatine kadar ilgili İhale Komisyonu Başkanlığına teslim etmeleri veya ihalenin başlama saatine kadar ilgili İhale Komisyonu Başkanlığına ulaşacak şekilde iadeli taahhütlü posta ile göndermeleri gerekmektedir. Postada meydana gelecek gecikmeler halinde teklif işleme alınmaz.
6 - Taşınmazların ihale bedeli üzerinden azalan oranlı döner sermaye ücreti alınacaktır. Döner Sermaye ücreti hesaplaması şartnamelerde açıklanmıştır.
7 - Hazinece satışı yapılan taşınmaz mallar Katma Değer Vergisinden ve satış tarihini takip eden yıldan itibaren 5 yıl süreyle Emlak Vergisinden muaftır. Ayrıca, satış ve devir işlemleri ile bu işlemler sırasında düzenlenen belgeler vergi, resim ve harçtan müstesna tutulmuştur.
8 - Talep edilmesi halinde satış bedelinin taksitle ödenmesi mümkündür.
9 - Şartnameler ve ekleri mesai saatleri içinde Milli Emlak Müdürlüklerinde bedelsiz görülebilir.
10 - Türkiye genelindeki ihale bilgileri http://www.milliemlak.gov.tr internet adresinden, Denizli İlindeki ihale bilgileri http://www.denizli.csb.gov.tr
internet adresinden öğrenilebilir.