Edirne Milli Emlak'tan satılık 114 kamu konutu!
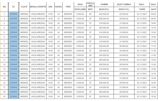
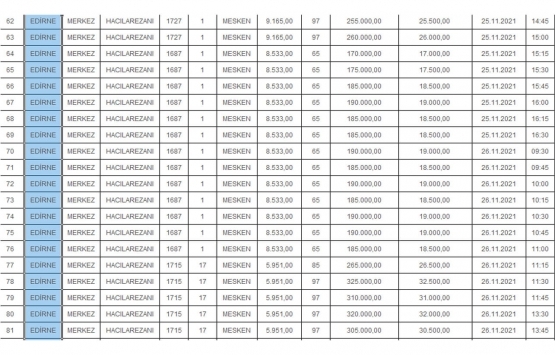
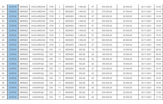
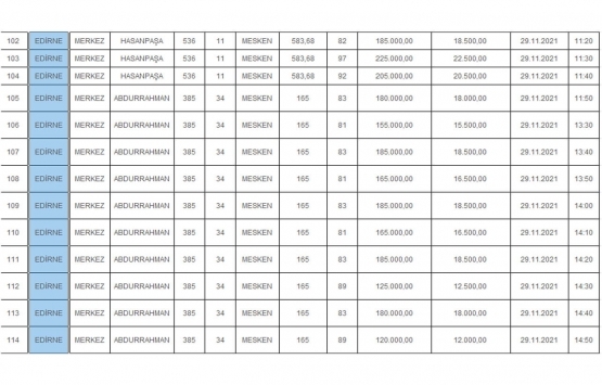
Edirne Milli Emlak Müdürlüğü, Edirne ili, Merkez ilçesinde yer alan 114 adet kamu konutunu satıyor...
Edirne Milli Emlak Müdürlüğü tarafından, Edirne ili, Merkez ilçesinde yer alan 114 adet kamu konutu satışa sunuldu. Gayrimenkullerin satış ihalesi 23 Kasım tarihinde saat 09:30'da yapılacak.
İlan metni:
EDİRNE ÇEVRE VE ŞEHİRCİLİK İL MÜDÜRLÜĞÜ MİLLİ EMLAK MÜDÜRLÜĞÜNDEN






Yukarıda nitelikleri, tahmini bedelleri ve geçici teminatları belirtilen sıradaki taşınmazların satış ihalesi 2886 Sayılı Devlet İhale Kanununun 45. maddesi gereğince Açık Teklif Usulü ile karşılarında belirtilen tarih ve saatte İstasyon Mahallesi Şehit Emniyet Müdürü Ertan Nezihi Turan Cad. No:63 22030-EDİRNE adresindeki Çevre ve Şehircilik İl Müdürülüğünde Konferans salonunda teşekkül edecek komisyon huzurunda yapılacaktır.
1- İhale ile ilgili dosya ve şartname mesai saatleri dahilinde Milli Emlak Müdürlüğünde ücretsiz görülebilir.
2- İhaleye katılmak isteyenlerin;
a) Yasal yerleşim yerini gösterir belgeyi (ikametgâh belgesi)
b) Tebligat için Türkiye'de adres göstermeleri,
c) Gerçek kişilerin TC kimlik numarasını, tüzel kişilerin ise vergi kimlik numarasını bildirmeleri, gerçek kişilerin Nüfus Cüzdanı suretini,
ç) Geçici teminat makbuzunu veya teminat mektubunu,
d) Özel hukuk tüzel kişilerinin, yukarıda belirtilen şartlardan ayrı olarak, İdare merkezlerinin bulunduğu yer mahkemesinden veya siciline kayıtlı bulunduğu Ticaret veya Sanayi Odasından yahut benzeri mesleki kuruluştan, ihalenin yapıldığı yıl içinde alınmış sicil kayıt belgesi ile tüzel kişilik adına ihaleye katılacak veya teklifte bulunacak kişilerin tüzel kişiliği temsile tam yetkili olduklarını gösterir noterlikçe tasdik edilmiş imza sirkülerini veya vekâletnameyi vermeleri; kamu tüzel kişilerinin ise, yukarıdaki 2. maddenin (b), (ç) bentlerinde belirtilen şartlardan ayrı olarak tüzel kişilik adına ihaleye katılacak veya teklifte bulunacak kişilerin tüzel kişiliği temsile yetkili olduğunu belirtir belgeyi komisyona teslim etmek zorundadırlar.
3- Geçici teminatın, mevduat veya katılım bankalarından alınacak teminat mektubu olarak verilmesi halinde, geçici teminat mektubunun süresiz olması ve 2886 sayılı Devlet İhale Kanunu’nun 27. maddesi ve Hazine Taşınmazlarının İdaresi Hakkında Yönetmeliğin 26. maddesinde belirtilen hususları taşıması gerekmektedir.

4- İstekliler ihale saatine kadar İhale Komisyonuna ulaşması kaydıyla, 2886 sayılı Devlet İhale Kanunu hükümlerine göre hazırlayacakları teklif mektuplarını iadeli taahhütlü posta ile de gönderebilirler, postadaki gecikmeler kabul edilmez.
5- 4706 sayılı Kanun 4. maddesinin 8. fıkrası uyarınca kamu konutlarında oturanlar, ikamet ettikleri kamu konutunu öncelikli olarak satın alma hakkına sahiptirler. Taşınmazların boş veya dolu olup olmadıkları mesai saatleri içerisinde Milli Emlak Müdürlüğünden öğrenilebilir.
6- Komisyon gerekçesini belirtmek şartıyla ihaleyi yapıp yapmamakta serbesttir.
7- Hazine taşınmazların satış işlemlerinde satış bedeli üzerinden 5 milyon-TL'ye kadar olan kısım için %1, 5 milyon-TL'den 10 milyon TL'ye kadar olan kısmı için %0.5, 10 milyon-TL'yi aşan kısmı için %0.25 oranında ayrıca işlem bedeli alınacaktır.
İlan olunur.
NOT:Türkiye genelindeki ihale bilgileri www.milliemlak.gov.tr internet adresinden öğrenilebilir.