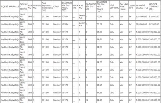
İstanbul'da Milli Emlak 16 lojman satıyor!
İstanbul'da Milli Emlak 16 lojmanı satıyor. Peki satışa çıkarılan lojmanların fiyatları ne kadar? Satışa sunulan lojmanlar için ne kadar ödemek gerekiyor? İşte satılık ev arayanları cezbeden ihalenin tüm detayları...
İlan metni:


1- Yukarıda nitelikleri belirtilen taşınmazların ihalesi, gösterilen gün ve saatte, 2886 s. Devlet İhale Kanununun 45. maddesi uyarınca"Açık Teklif Usulü" ile İstanbul Çevre, Şehircilik ve İklim Değişikliği İl Müdürlüğü Anadolu Yakası Milli Emlak Dairesi Başkanlığı, Ankara Cad. Hükümet Konağı Sk No:11 Kat: 1 Cağaloğlu, Fatih/İSTANBUL adresinde, İhale Salonunda yapılacaktır.
2 -İlan tarihi itibariyle listede 9. sırada belirtilen bağımsız bölüm hariç diğer tüm bağımsız bölümlerde 4706 saylı Kanunun 4. Maddesi uyarınca içerisinde oturanların ön alım hakkı vardır.
3-İhaleye iştirak etmek isteyenlerin;
a) Geçici teminatı yatırmaları; (geçici teminat olarak kabul edilebilecek değerler:
1) Tedavüldeki Türk Parası,
2) Mevduat ve katılım bankalarının verecekleri süresiz teminat mektupları,
3) Hazine Müsteşarlığınca İhraç edilen Devlet İç borçlanma senetleri veya bu senetler yerine düzenlenen belgelerdir. (Nominal bedele faiz dahil edilerek ihraç edilmiş ise, bu işlemlerde anaparaya tekabül eden satış değerleri esas alınır.)
Mevduat ve Katılım bankalarınca verilen teminat mektupları dışındaki teminatlar istekliler tarafından hizmet binamızdaki Defterdarlık Muhasebe Müdürlüğüne yatırılması gerekmektedir.
Teminat mektuplarının (geçici, süresiz ve limit içi olarak düzenlenecek, şube limitleri ve işin özelliği belirtilecek, banka teyit yazısı ile birlikte getirilecektir) ve senetlerin 2886 sayılı Devlet İhale Kanuna göre düzenlenmesi gerekmektedir.
b) Gerçek kişilerin tasdikli (T.C. kimlik numarasını içeren ) Nüfus Hüviyeti Sureti veya aslı ibraz edilmek kaydıyla nüfus cüzdan fotokopisi ve İkametgah Belgesini;
Özel hukuk tüzel kişilerinin, idare merkezlerinin bulunduğu yer mahkemesinden veya siciline kayıtlı bulunduğu ticaret veya sanayi odasından yahut benzeri meslekî kuruluştan, ihalenin yapıldığı yıl içinde alınmış sicil kayıt belgesi ile tüzel kişilik adına ihaleye katılacak veya teklifte bulunacak kişilerin tüzel kişiliği temsile tam yetkili olduklarını gösterir noterlikçe tasdik edilmiş vekâletnameyi veya ihaleye katılacak şirket temsilcisinin T.C Ticaret Bakanlığı sistemine temsilci olarak kayıtlı olması, Kamu tüzel kişilerinin ise, tüzel kişilik adına ihaleye katılacak veya teklifte bulunacak kişilerin tüzel kişiliği temsile yetkili olduğunu belirtir belgeyi, Ortak katılım halinde ortak girişim beyannamesi ile birlikte; ihale saatine kadar Alemdar Mah. Ankara Cad. Hükümet Konağı Sk. No:11 Valilik Karşısı Çevre ve Şehircilik İl Müdürlüğü Anadolu Yakası Milli Emlak Dairesi Başkanlığı Kat:1 Cağaloğlu-Fatih/İstanbul adresinde toplanacak olan ihale Komisyonu Başkanlığına (İhale Servisine) başvurarak belgelerini teslim etmeleri gerekmektedir.
4-İhaleye ait şartname mesai saatleri içerisinde ücretsiz olarak Müdürlüğümüzde görülebilir. Ayrıca ihale ilanları www.milliemlak.gov.tr adresinde satış/kiralama ilanları bölümünden ve İl Müdürlüğümüzün http://istanbul.csb.gov.tr adresinde Milli Emlak Duyuruları bölümünden takip edilebilir.
5-İhaleye katılacakların nakit olarak yatırmak istedikleri geçici teminat bedelleri, hizmet binamızdaki Muhasebe Müdürlüğü veznesine başvurmak suretiyle yatırmaları gerekmektedir.
6- Kamu konutu olarak satışa sunulan taşınmazlara ilişkin olarak, 4706 sayılı Kanunun 4. maddesi ve 385 sıra no.lu Milli Emlak Genel Tebliği hükümleri uyarınca,
(1) Kat mülkiyeti veya kat irtifakı kurulan kamu konutlarından ihalenin yapıldığı tarihte; adlarına görev, sıra ve hizmet tahsisli kamu konutu tahsis edilen (şartlı tahsisler dahil) ve fiilen konutta oturanlar öncelikli alım hakkına sahiptir.
(2) Öncelikli alım hakkı sahibinin kamu konutunu satın almak istemediğini bildirmesi, süresi içerisinde herhangi bir bildirimde bulunmaması ya da yükümlülüklerini yerine getirmemesi halinde, en yüksek teklifi veren istekli tarafından satış bedeli peşin veya Kanunun 5 inci maddesinin birinci fıkrasında belirtilen şekilde en az dörtte biri peşin, kalanı en fazla iki yılda ve taksitlerle kanunî faizi ile birlikte ödenebilir.
(3) Öncelikli alım hakkı sahibinin; kamu konutunu satın alması halinde satış bedeli 385 sıra no.lu Milli Emlak Genel Tebliği hükümleri uyarınca tahsil edilir.
(4) Öncelikli alım hakkı sahibinin; kamu konutunu satın almak istemesi ve süresi içerisinde satış bedelini peşin olarak ödemesi veya peşinatı ödeyerek Taksitli Satış Sözleşmesini imzalaması halinde bu durum İhalede en yüksek teklifi veren isteklisine bildirilir.
(5) Bedelin yetkili kredi kuruluşlarından kredi temin edilerek ödenmek istenilmesi halinde, alıcı tarafından kredi kuruluşu ile yapılan kredi sözleşmesi veya kredi açıldığına dair kredi kuruluşunun resmî yazısı verilir ve kredi kuruluşu tarafından bedel ilgili muhasebe biriminde açılacak emanet hesabına aktarılması halinde İdarece, tapu müdürlüklerine kredi kuruluşu lehine ipotek tesis edilmesi ve alıcı adına tescil işleminin yapılması hususu yazıyla bildirilir.
7- Satışı yapılan taşınmazlar 5 yıl süre ile Emlak Vergisine tabi değildir.
8- Satışı yapılan taşınmazlar KDV'den, satış ve devir işlemleri sırasında düzenlenen belgeler vergi, resim ve harçtan müstesnadır.
9- Satışı yapılacak taşınmazların; satış bedelleri üzerinden 5.000.000,00-TL'ye (BeşMilyonTL'ye) kadar olan kısmı için %1 (yüzde bir) 5.000.000,00-TL'den (BeşmilyonTL'den) 10.000.000,00-TL'ye (OnMilyonTL'ye) kadar olan kısmı için %0.5 (binde beş) 10.000.000,00-TL'yi (OnMilyonTL'yi) aşan kısmı için % 0.25 (on binde yirmi beş) oranlarında işlem bedeli tahsil edilir.
10-Posta ile yapılacak müracaatlarda teklifin ihale saatinden önce komisyona ulaşması şarttır. Postadaki meydana gelebilecek gecikmelerden dolayı İdare veya komisyon herhangi bir sorumluluk kabul etmez. Komisyon ihaleyi yapıp yapmamakta serbesttir. İlan olunur.