Milli Emlak'tan İstanbul'da 13.8 milyon TL'ye satılık 8 gayrimenkul!
İstanbul Çevre, Şehircilik ve İklim Değişikliği İl Müdürlüğü Avrupa Yakası Milli Emlak Dairesi Başkanlığı, Bağcılar, Bakırköy, Eyüpsultan, Kağıthane ve Küçükçekmece ilçelerinde bulunan 8 gayrimenkulü 13 milyon 813 bin 675 TL'ye satıyor...
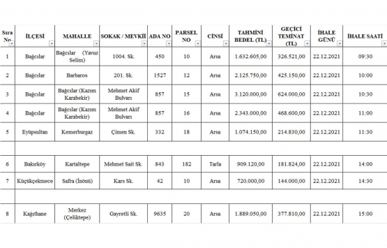
İstanbul Çevre, Şehircilik ve İklim Değişikliği İl Müdürlüğü Avrupa Yakası Milli Emlak Dairesi Başkanlığı tarafından, Bağcılar, Bakırköy, Eyüpsultan, Kağıthane ve Küçükçekmece ilçelerinde bulunan Hazine’ye ait 8 gayrimenkul 13 milyon 813 bin 675 TL'ye satışa çıkarıldı. Gayrimenkullerin satış ihalesi 22 Aralık tarihinde saat 09:30'da gerçekleştirilecek.

İlan metni:
İSTANBUL ÇEVRE, ŞEHİRCİLİK VE İKLİM DEĞİŞİKLİĞİ İL MÜDÜRLÜĞÜ AVRUPA YAKASI MİLLİ EMLAK DAİRESİ BAŞKANLIĞINDAN

1-Yukarıda nitelikleri belirtilen mülkiyeti Hazine'ye ait taşınmazların satış ihaleleri, 2886 sayılı Devlet İhale Kanununun 45. maddesine göre "Açık Teklif Usulü" ile yukarıda gösterilen gün ve saatlerde İstanbul Çevre, Şehircilik ve İklim Değişikliği İl Müdürlüğü Avrupa Yakası Milli Emlak Dairesi Başkanlığı, Ankara Cad. Hükümet Konağı Sk. No:11 Kat: 1 Cağaloğlu Fatih/İSTANBUL adresinde, İhale Salonunda yapılacaktır.
2-İhaleye iştirak etmek isteyenlerin;
a)Geçici Teminat Bedelinin İstanbul Defterdarlığı Muhasebe Müdürlüğüne yatırıldığına ilişkin Makbuzu veya Banka Teminat Mektubunu (Geçici teminat olarak kabul edilebilecek değerler: 1)Tedavüldeki Türk Parası, 2)Mevduat veya Katılım Bankalarının verecekleri süresiz teminat mektupları, 3)Hazine Müsteşarlığınca ihraç edilen Devlet İç Borçlanma Senetleri veya bu senetler yerine düzenlenen belgeler. Geçici teminat mektubunun şekil ve içeriğinin 2886 sayılı Kanunun 27. maddesi bu kanun uyarınca yayınlanmış D.İ. Genelgelerinde belirtilen şartları -süresiz ve limit içi olarak düzenlenecek, işin özelliği belirtilecek, banka teyit yazısı ile birlikte getirilecektir- taşıması gerekmektedir.),
b)Gerçek kişilerin tasdikli (T.C. kimlik numarasını içeren) nüfus kayıt örneği veya aslı ibraz edilmek kaydıyla kimlik fotokopisini, İkametgah Belgesini, Özel hukuk tüzel kişilerinin, idare merkezlerinin bulunduğu yer mahkemesinden veya siciline kayıtlı bulunduğu ticaret veya sanayi odasından yahut benzeri meslekî kuruluştan, ihalenin yapıldığı yıl içinde alınmış sicil kayıt belgesi ile tüzel kişilik adına ihaleye katılacak veya teklifte bulunacak kişilerin tüzel kişiliği temsile tam yetkili olduklarını gösterir noterlikçe tasdik edilmiş vekâletnameyi, Kamu tüzel kişilerinin ise, tüzel kişilik adına ihaleye katılacak veya teklifte bulunacak kişilerin tüzel kişiliği temsile yetkili olduğunu belirtir belgeyi, Ortak katılım halinde ortak girişim beyannamesi ile birlikte; ihale saatine kadar İhale Komisyonu Başkanlığına (İhale Servisine) başvurarak belgelerini teslim etmeleri gerekmektedir.
3-Satış bedelinin tamamı peşin veya 1/4 ü peşin kalanı en fazla iki yılda, eşit taksitlerle ve üçer aylık dilimler halinde kanunî faizi ile birlikte ödenebilir.

4-İhaleye ait şartname mesai saatleri içerisinde ücretsiz olarak Müdürlüğümüzde görülebilir. Ayrıca ihale ilanları www.milliemlak.gov.tr adresinde satış/kiralama ilanları bölümünden ve İl Müdürlüğümüzün https://istanbul.csb.gov.tr adresinde Milli Emlak Duyuruları bölümünden takip edilebilir.
5-İhaleye katılacakların nakit olarak yatırmak istedikleri geçici teminat bedelleri, hizmet binamızdaki Muhasebe Müdürlüğü veznesine başvurmak suretiyle yatırılabilir.
6-Satışı yapılan taşınmazlar 5 yıl süre ile Emlak Vergisine tabi değildir.
7-Satışı yapılan taşınmazlar KDV'den, satış ve devir işlemleri sırasında düzenlenen belgeler vergi, resim ve harçtan müstesnadır.
8-Satışı yapılacak taşınmazların; satış bedelleri üzerinden 5.000.000,00-TL'ye (BeşMilyonTL'ye) kadar olan kısmı için %1 (yüzde bir), 5.000.000,00-TL'den (BeşmilyonTL'den) 10.000.000,00-TL'ye (OnMilyonTL'ye) kadar olan kısmı içim %0.5 (binde beş), 10.000.000,00-TL'yi (OnMilyonTL'yi) aşan kısmı için % 0.25 (on binde yirmi beş) oranlarında işlem bedeli tahsil edilir.
9-Posta ile yapılacak müracaatlarda teklifin ihale saatinden önce komisyona ulaşması şarttır. Postadaki meydana gelebilecek gecikmelerden dolayı İdare veya komisyon herhangi bir sorumluluk kabul etmez. Komisyon ihaleyi yapıp yapmamakta serbesttir. İlan olunur.