ÖİB'den 12 ilde satılık 37 gayrimenkul!
Başbakanlık Özelleştirme İdaresi Başkanlığı tarafından İstanbul, Hatay, İzmir, Manisa, Niğde, Muş, Elazığ, Aydın, Balıkesir, Aksaray, Isparta, Sakarya illerinde 37 gayrimenkulün satışı 8 milyon 233 bin TL'ye ihale edilecek.
MUHTELİF TAŞINMAZLARIN ÖZELLEŞTİRİLMESİ HAKKINDA DUYURU
Başbakanlık Özelleştirme İdaresi Başkanlığından:
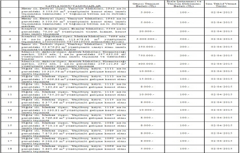
4046 sayılı Kanun hükümleri kapsamında, Başbakanlık Özelleştirme İdaresi Başkanlığı (İdare) tarafından tablodaki taşınmazlar “Satış” yöntemi ile özelleştirilecektir.
1 - İhaleler, pazarlık usulü ile gerçekleştirilecektir. İhale Komisyonunca gerekli görüldüğü takdirde ihaleler, pazarlık görüşmesine devam edilen teklif sahiplerinin katılımı ile açık artırma suretiyle sonuçlandırılabilir.
2 - Katılımcılar ayrı ayrı olmak koşuluyla, birden fazla ihaleye teklif verebilirler.
3 - İhaleye katılabilmek için her bir taşınmaz için ayrı İhale Dokümanı alınması ve tekliflerin İdarenin; Ziya Gökalp Caddesi No:80 Kurtuluş/ANKARA adresine son teklif verme günü saat 17:00’ye kadar elden teslim edilmesi zorunludur. İhale Şartnamesi ve Tanıtım Dokümanı için alınan bedel her ne surette olursa olsun iade edilmez.
4 - İhale Dokümanı bedelleri İdare’nin;
- T. Halk Bankası A.Ş. Kurumsal Şubesi/ANKARA nezdinde bulunan TR**********************06 numaralı Özelleştirme Fonu Vadesiz Satış ve Temettü Gelirleri Türk Lirası,
- T.C. Ziraat Bankası A.Ş. Kamu Kurumsal Şubesi/ANKARA nezdinde bulunan TR**********************38 numaralı Özelleştirme Fonu Vadesiz Türk Lirası,
- T.Vakıflar Bankası T.A.O. Merkez Şubesi/ANKARA nezdinde bulunan TR**********************67 numaralı Özelleştirme Fonu Vadesiz Türk Lirası
hesaplarından birine yatırılacaktır. Dekontta, katılımcının ismi (katılımcının Ortak Girişim Grubu (OGG) olması halinde OGG’nin veya üyelerinden birinin adına düzenlenmiş olması yeterlidir) ile hangi ihaleye ilişkin doküman alınacağı belirtilecektir.
5 - Özelleştirme ihaleleri, 2886 sayılı Devlet İhale Kanununa tabi olmayıp, İdare ihaleyi yapıp yapmamakta, dilediğine yapmakta serbesttir. İdare son teklif verme tarihini belirli bir tarihe kadar veya bilahare belirlenecek bir tarihe kadar uzatabilir. Bu husus son teklif verme süresinin sona ermesinden önce duyurulacaktır.
6 - Özelleştirme işlemleri; her türlü resim, vergi, harç ve KDV’den muaftır.
7 - Yukarıdaki tabloda yer alan;
1-26 no.lu taşınmazlar için (312) 585 82 70
27-33 no.lu taşınmazlar için (312) 585 82 40
34-37 no.lu taşınmazlar için (312) 585 83 30
numaralı telefondan ve www.oib.gov.tr adresinden ihaleye ilişkin bilgi alınabilir.

