Tokat Zile'de 9.3 milyon TL'ye satılık 38 gayrimenkul!
Tokat Zile Belediyesi, Nakkaş Mahallesi Atayolu Caddesi Altınpark sitesinde bulunan belediyeye ait 3 adet depolu asma katlı dükkan 3 adet dubleks mesken 32 adet meskeni ihale ile satıyor...
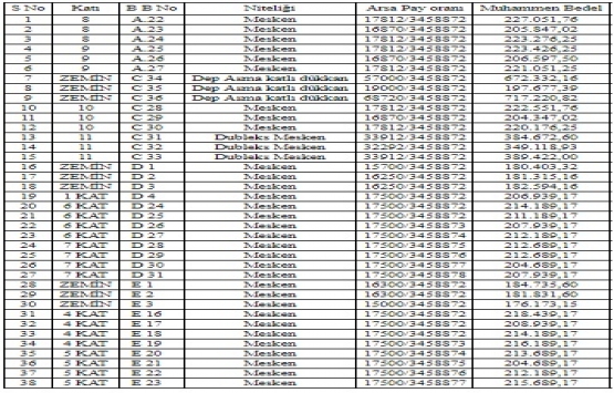
Tokat/Zile Belediye Başkanlığı tarafından Nakkaş Mahallesi Atayolu Caddesi Altınpark sitesinde bulunan belediyeye ait 3 adet depolu asma katlı dükkan 3 adet dubleks mesken 32 adet mesken ihale ile satışa sunuluyor. Toplam muhammen bedeli 9 milyon 346 bin 287 TL olarak belirlenen gayrimenkullerin ihalesi 10 Eylül'de yapılacak.
TAŞINMAZLAR SATILACAKTIR
Tokat/Zile Belediye Başkanlığından:
1 - Nakkaş Mahallesi Atayolu Caddesi Altınpark sitesinde bulunan belediyemize ait 3 adet Depolu Asma katlı dükkan 3 Adet Dubleks Mesken 32 adet mesken 2886 sayılı Devlet İhale Kanunun 45.maddesi gereğince Açık teklif usulü ile satılacaktır.
2 - İhale aşağıda belirtilen gün ve saatte Belediye Hizmet Binası meclis odasında, Belediye Encümeni huzurunda yapılacaktır

3 - İHALEYE KATILABİLME ŞARTLARI ve İSTENEN BELGELER:
a) İhale dokümanı satın alındığına ilişkin makbuz
b) Geçici teminat bedelinin ihale saatine kadar yatırıldığına ilişkin makbuz
c) Gerçek kişiler için Nüfus cüzdanı sureti (Nüfus müdürlüğünden)
d) Gerçek kişiler için İmza beyannamesi tüzel kişilerin imza sirküsü
e) Gerçek kişiler için Yerleşim Belgesi (Nüfus müdürlüğünden),tüzel kişi, dernek veya kamu kuruluşu ise yetkili organlarınca alınmış karar örnekleri
f) İstekli adına vekaleten iştirak ediliyorsa, isteklinin adına teklif vermeye yetkili olduğuna dair noterden tasdikli vekaletname ve noterden tanzim edilmiş imza sirküleri
4 - Taşınmaz satış ihalesinin geçici teminatı, muhammen bedelin %3 (yüzde üçü) oranındadır.
5 - Taşınmazların satış bedeli peşin olup Taksitli satışlarda %50 peşin kalanı aylık ödenmek üzere 24 eşit taksitte ödenecektir. Kalan borca aylık %1 vade farkı ilave edilecektir. İhale bedelini gününde ödemeyen ihaleden vazgeçmiş sayılır ve geçici teminatı belediyemiz adına gelir olarak kaydedilir.
6 - Satışı yapılan taşınmazların tapu tescil işlemleri ihale bedelinin tamamı ödendikten sonra yapılacaktır. İhale ve tapu tescil işlemleri ile ilgili her türlü vergi, resim harç ve diğer giderler alıcıya aittir.
7 - Belediye Encümeni uygun bedeli tespit etmekte ve ihaleyi yapıp yapmamakta serbesttir.
8 - İsteklilerin, ihaleye ilişkin şartnameyi Zile Belediyesi Destek Hizmetler Müdürlüğü’nden 20,00- TL (Yirmi TL) ücret karşılığında satın almaları zorunludur Ayrıca zile.bel.tr adresinden ihale dokümanı bedelsiz olarak görebilirler.
9 - İstekliler tek dosya ile almak istedikleri taşınmaz adedi kadar ihaleye katılabilir yalnız girecekleri taşınmazın geçici teminatlarını ayrı ayrı yatırmak zorundadır. Yeteri miktarda teminat bedelini yatıran ihale üzerinde kalıncaya kadar her taşınmaz için ihaleye katılabilir.
10 - 3065 sayılı Kanunun (17/4-p) maddesine göre, belediyeler ve il özel idarelerinin mülkiyetindeki taşınmazların satışı (belediye ve il özel idarelerinin bünyelerinde oluşan iktisadi işletmelerin taşınmaz satışları hariç) KDV’den istisnadır.