24 / 12 / 2025

Adana Milli Emlak'tan satılık 31 gayrimenkul!

Adana Milli Emlak'tan satılık 31 gayrimenkul!

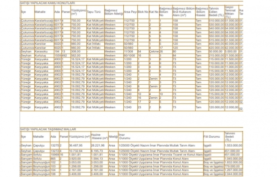
Adana Çevre Şehircilik İl Müdürlüğü, Adana ili, Çukurova, Seyhan, Yüreğir, Sarıçam ilçelerinde yer alan 31 gayrimenkulü satıyor...


1.2 milyon TL'ye 190 metrekare net tarla! 600.000 TL peşin! 50.000 taksitle! Son 7 parsel!.


Adana Çevre Şehircilik İl Müdürlüğü tarafından,  Adana  ili, Çukurova, Seyhan, Yüreğir, Sarıçam ilçelerinde yer alan 31 gayrimenkul satışa çıkarıldı. Gayrimenkullerin satış ihalesi 1 Eylül tarihinde saat 8:50'de gerçekleştirilecek.

Adana Milli Emlak tan satılık 31 gayrimenkul!

İlan metni:

Adana Milli Emlak tan satılık 31 gayrimenkul!

İlan metninin devamı için tıklayın 


Geri Dön