Ankara Namık Kemal ve Yenişehir'deki bazı lojmanların Maliye Bakanlığı tahsisi kalktı!
Erdoğan Bayraktar'ın Çevre ve Şehircilik Bakanlığı döneminde kentsel dönüşüm alanı ilan edilen Ankara Çankaya Namık Kemal Mahallesi ve Yenişehir Mahallesi, ekonomiye kazandırılıyor. Maliye Bakanlığı'nın bazı parsellerde tahsisini kaldıran karar bugün Resm
Ankara'nın Çankaya İlçesi'nde bulunan ve önemli lojman potansiyeli ile 'devlet mahallesi' olarak bilinen Namık Kemal Mahallesi (Saraçoğlu Mahallesi) ve Yenişehir Mahallesi'nin ekonomiye kazandırılması için bazı ada ve parsellerde Maliye Bakanlığı'nın tahsisinin kaldırılmasına yönelik Bakanlar Kurulu kararı bugünkü Resmi Gazete'de yayımlanarak yürürlüğe girdi.
İşte o Ankara İli, Çankaya İlçesi, Namık Kemal ve Yenişehir Mahallelerinde Bulunan ve Tamamının veya Bir Kısım Paylarının Mülkiyetleri Hazineye Ait Olan Bazı Taşınmazların Ekonomiye Kazandırılması Amacıyla Tahsislerinin Kaldırılmasına İlişkin Karar;
BAKANLAR KURULU KARARI
Karar Sayısı : 2014/6645
Ankara İli, Çankaya İlçesi, Namık Kemal ve Yenişehir mahallelerinde bulunan ve tamamının veya bir kısım paylarının mülkiyetleri Hazineye ait olan bazı taşınmazların ekonomiye kazandırılması amacıyla tahsislerinin kaldırılmasına ilişkin ekli Kararın yürürlüğe konulması; Maliye Bakanlığının 8/7/2014 tarihli ve 21318 sayılı yazısı üzerine, 29/6/2001 tarihli ve 4706 sayılı Kanunun 2 nci maddesinin birinci fıkrasına göre, Bakanlar Kurulu’nca 15/7/2014 tarihinde kararlaştırılmıştır.
15/7/2014 TARİHLİ VE 2014/6645 SAYILI
KARARNAMENİN EKİ
KARAR
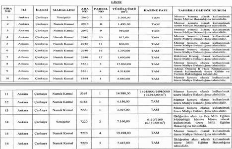
MADDE 1 – (1) Ankara İli, Çankaya İlçesi, Namık Kemal ve Yenişehir mahallelerinde bulunan, tamamının veya bir kısım paylarının mülkiyetleri Hazineye ait olan ve ekli listede bulunduğu mahalle, ada ve parsel numaraları, yüzölçümleri, pay oranları ve tahsisli olduğu kamu idareleri gösterilen taşınmazların; tapu kütüklerinde yer alan şerh, beyan ve belirtmelere uyulmak, tarihi ve kültürel mirası ile kentsel sit niteliği ve bölgenin özgün yapısı korunmak kaydıyla, aslına uygun bir şekilde ve ilgili mevzuatı uyarınca restore edilmek suretiyle öncelikle Maliye Bakanlığınca veya Maliye Bakanlığınca uygun görülen hallerde Çevre ve Şehircilik Bakanlığı, Özelleştirme İdaresi Başkanlığı, Toplu Konut İdaresi Başkanlığı ve diğer ilgili kamu kurum ve kuruluşları tarafından yürütülecek projeler kapsamında değerlendirilerek ekonomiye kazandırılması amacıyla tahsislerinin kaldırılması kararlaştırılmıştır.
MADDE 2 – (1) Bu Karar yayımı tarihinde yürürlüğe girer.
MADDE 3 – (1) Bu Karar hükümlerini Maliye Bakanı yürütür.
