Belediye 25 bin 375 TL'den başlayan fiyatlarla 11 arsa satacak! Sakın kaçırmayın!
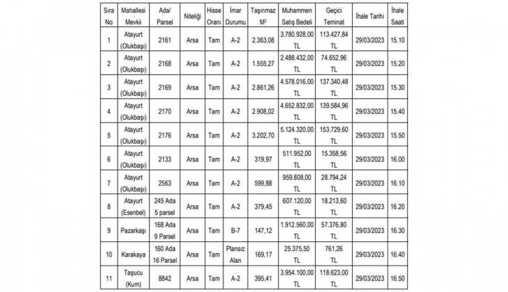
Mersin İli Silifke Belediye Başkanlığı, Mersin Silifke'de yer alan 11 adet arsayı satışa çıkardı. Arsaların satış ihalesi 29 Mart 2023 tarihinde yapılacak.
TAŞINMAZLAR SATILACAKTIR
Mersin İli Silifke Belediye Başkanlığından:
Mülkiyeti Belediyemize ait aşağıda tabloda nitelikleri belirtilen 11 (On bir) adet taşınmazın 2886 sayılı Devlet İhale Kanununun 45. maddesine göre Açık Teklif (arttırma) usulü ihale ile satışı yapılacaktır.

İhale, Saray mahallesi İnönü Bulvarı No:1 Silifke/MERSİN adresinde bulunan Silifke Belediyesi Hizmet Binası 3.kat Meclis Salonunda yapılacaktır. İhaleye katılacak olanların ihale şartnamesini ve eklerini Belediyemiz Emlak ve İstimlak Müdürlüğü’nden 250,00 TL karşılığında satın almaları zorunludur. Şartname ve ekleri Belediyemiz Hizmet Binası 1.katta bulunan Emlak İstimlak Müdürlüğünde görülebilir ve satın alınabilir.
Ayrıca www.silifke.bel.tr/ adresinden taşınmaz mal satış ihale ilanı ve şartnamesine ulaşılabilir.
1- İHALEYE KATILABİLME ŞARTLARI VE İSTENİLEN BELGELER:
a) İhaleye katılacaklar için Geçici teminat (2886 D.İ.K. 26. maddesinde belirtilen değerlerde) ihale bedelinin en az %3’ü olup; nakit para veya banka teminat mektubu olması halinde limit içi ve süresiz olması gerekmektedir. En geç 29 Mart 2023 Çarşamba günü Saat 12.00’a kadar diğer belgelerle birlikte Emlak ve İstimlak Müdürlüğüne teslim edilmesi gerekmektedir.
b) İsteklinin gerçek kişi olması halinde, nüfus cüzdanı sureti ile Nüfus Müdürlüğünden alınmış Yerleşim Yeri(İkametgah) Belgesini sunması gereklidir.
c) İsteklinin tüzel kişi olması halinde, ilgili mevzuatı gereği kayıtlı bulunduğu ticaret ve/veya sanayi odasından, ihale tarihinin içinde bulunduğu yılda alınmış, tüzel kişiliğin odaya kayıtlı olduğunu gösterir belge ile tüzel kişiliğin faaliyetinin devam ettiğini gösterir faaliyet belgesini sunması gereklidir.
d) İsteklinin tüzel kişi olması halinde, ilgisine göre tüzel kişiliğin ortakları, üyeleri veya kurucuları ile tüzel kişiliğin yönetimindeki görevlileri belirten son durumu gösterir Ticaret Sicil Gazetesi, bu bilgilerin tamamının bir Ticaret Sicil Gazetesinde bulunmaması halinde, bu bilgilerin tümünü göstermek üzere ilgili Ticaret Sicil Gazeteleri veya bu hususları gösteren belgeler ile tüzel kişiliğin noter tasdikli imza sirkülerinin, tüzel kişiliğin ihaleye iştirak eden temsile yetkililerinin noter tasdikli imza beyannamelerinin sunulması gereklidir.
e) Gerçek ve ya tüzel kişi adına vekaleten ihaleye katılma halinde, vekil adına düzenlenmiş ihaleye katılmaya ilişkin noter onaylı vekaletname ile vekilin noter tasdikli imza beyannamesinin sunulması gereklidir.
f) Her dosya için ayrı ayrı Satış Şartnamesi aldığına dair makbuz sunulacaktır.
g) Posta veya kargo ile yapılacak başvurular kabul edilmeyecektir.
h) İsteklinin Dernek, Federasyon, Konfederasyon veya Vakıf olması halinde;
h.1. Dernek, Federasyon, Konfederasyon veya Vakıf Genel Merkezlerinin bulunduğu yer resmi makamlarınca veya kuruluşlarınca ihale ilanının yapıldığı tarihten sonra alınmış ve halen faaliyette bulundurduklarına dair belge ibrazı,
h.2. Dernek, Federasyon, Konfederasyon veya Vakıf tüzel kişiliğinin noter tasdikli imza sirküleri ile temsile yetkili kılınanların noter tasdikli imza beyannamelerinin sunulması gereklidir.
i) İhaleye iş ortaklığı olarak teklif verilmesi halinde iş ortaklığının her bir ortağı tarafından yukarıdaki 1 maddenin (c), (d) ve (e) bentlerinde yer alan belgelerin ilgisine göre ayrı ayrı sunulması zorunludur.
j) Taşınmaza ait satış şartnamesinin her sayfası ayrı ayrı ihaleye katılacak olan istekliler tarafından imzalanarak sunulacaktır.
2- İhale komisyonu, gerekçesini kararda belirtmek suretiyle ihaleyi yapıp-yapmamakta serbesttir. Komisyonun ihale yapmama kararına itiraz edilemez.
3- 2886 sayılı Devlet İhale Kanununun 6. maddesinde belirtilen şahıslar doğrudan veya dolaylı olarak ihaleye katılamazlar.
4- İhale yerli ve yabancı tüm isteklilere açıktır.
5- Yabancı isteklilerin Türkiye'de gayrimenkul edinilebilmesine ilişkin şartları taşıması zorunlu olup, Türkiye'de tebligat için adres göstermesi zorunludur. Yabancıların ihaleye iştirak etmesi halinde idareye sunacakları her türlü belgeleri, yeminli tercüman bürolarında Türkçe’ye çevirmek zorundadır.
6- Satış şartnamesinde belirtilen hususlarla taşınmaza ait dosyasındaki bilgileri ve tapudaki takyidatları alıcı aynen kabul etmiş sayılır. İhalenin kesinleşmesinden sonra ihale uhdesinde kalanlar, satış şartnamesine aykırı bir talepte bulunamazlar.
7- Taşınmazın satış bedeli şartnamede belirlenen şekilde peşin ödenecek olup, taşınmazın tapu devri satış bedelinin idareye yatırılmasından sonra yapılacaktır.
8- İş bu ihale ilanı genel bilgi niteliğinde olup, taşınmaz satışı ile ilgili ilanda yazılı olmayan hususlarda ihale şartnamesi hükümleri esas alınacak ve uygulanacaktır.
Milli Emlak'tan 17 bin TL'ye arazi fırsatı! Bu tarihe ve saate dikkat!
Adıyaman'daki deprem konutları için zemin etüdü yapılıyor!
Milli Emlak o ilde 5 bin 500 bin TL'ye arazi satacak! Arazi arayanlar bu tarihi kaçırmayın!