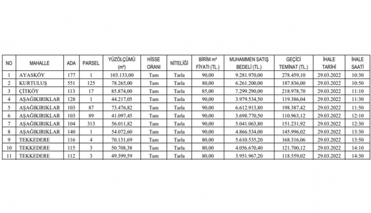
Bergama Belediyesi 11 adet tarla satıyor!
İzmir İli Bergama Belediye Başkanlığı, İzmir Bergama Ayasköy, Kurtuluş, Çitköy, Aşağıkırıklar, Tekkedere'de yer alan 11 adet tarlayı satışa çıkardı.
GAYRİMENKULLER SATILACAKTIR
İzmir İli Bergama Belediye Başkanlığından:
1. Mülkiyeti Belediyemize ait ilçemiz muhtelif mahallelerinde bulunan aşağıda tapu kaydı yazılı 11 adet gayrimenkulün 2886 sayılı Yasanın 35/A
maddesi hükümleri dahilinde Kapalı Zarf Usulü ile satışları yapılacaktır. Şartname ve ekleri mesai saatleri içerisinde Belediyemiz Emlak ve İstimlâk
Müdürlüğünden ücretsiz olarak görülebilir.
2. İhale 29/03/2022 Salı günü listede belirtilen saatte Haluk Elbe Toplantı Salonunda yapılacaktır. İhaleyi yapıp yapmamakta veya dilediği üzerine
ihale yapmakta, uygun bedeli tespitte İhale Komisyonu tamamen serbesttir.
3. Kanunun öngördüğü tapu harcı, ihale sebebiyle tahakkuk edecek gazete ilan ücreti, damga vergisi, sözleşme ücretleri (noter onaylı) alıcıya aittir.
K.D.V. den muaftır.
4. Muhammen bedel ile geçici teminat miktarları aşağıda belirtilmiştir.
5. İhaleye katılacakların geçici teminatlarını Belediyemiz veznesine yatırmaları ve buradan alacakları geçici teminat makbuzu veya geçici teminata
dair belgelerini İhale Başkanlığına ibrazları şarttır.
6. İhaleye katılacaklar ihale evraklarını en geç 28/03/2022 günü saat 17.30’ye kadar Emlak ve İstimlak Müdürlüğüne teslim etmeleri gerekmektedir.
İHALEYE KATILACAK OLANLARDAN İSTENEN BELGELER
1. İç Zarf: İç zarf yalnız teklif mektubunu içerecektir. Teklif Mektubu Belediyemizden temin edilebilir. Teklif mektubu, bir zarfa konulup
kapatıldıktan sonra zarfın üzerine isteklinin adı, soyadı ve tebligata esas olarak göstereceği açık adresi yazılır. Zarfın yapıştırılan yeri istekli tarafından
imzalanır veya mühürlenir. İhale Şartnamesi Madde 10’da belirtilmiştir.
2. Dış Zarf: Dış zarf aşağıdaki belgeleri içerecektir. Dış zarf kapatılarak üzerine isteklinin adı ve soyadı ile açık adresi ve teklifin hangi işe ait olduğu
yazılır. İhale Şartnamesi Madde 10’da belirtilmiştir.

A- Gerçek kişi olması halinde:
1. Şartname (Şartnamenin her sayfası ayrı ayrı ihaleye iştirak eden tarafından imzalanacaktır.),
2. Geçici Teminat Bedeli Makbuzu (Bergama Belediyesi Mali Hizmetler Müdürlüğüne yatırıldığına dair makbuz) veya Banka Teminat Mektubu
(Süresiz ve limit içi),
3. T.C. Kimlik numarası bulunan nüfus cüzdan fotokopisi,
4. İkametgâh Belgesi, (Muhtarlık ya da e-Devlet)
5. Belediyemize son ödeme tarihi geçmiş borcu olmadığına dair Mali Hizmetler Müdürlüğünden alınmış onaylı belge, (İlan tarihinden sonra alınmış
olması gerekmektedir)
6. Türkiye’de tebligat adres ve iletişim bilgileri beyanı,
7. Ekap Yasaklı Sorgulama Belgesi, (Katılımcının ihale yasaklısı çıkması durumunda ihaleye katılamaz.)
8. Temsil durumunda; Noter tasdikli vekâletname ve vekâlet edene ait imza beyannamesi,
9. İç Zarf (Teklif Mektubu),
B- Tüzel kişi olması halinde;
1. Şartname, (Şartnamenin her sayfası ayrı ayrı ihaleye iştirak eden tarafından imzalanacaktır.),
2. Geçici Teminat Bedeli Makbuzu (Bergama Belediyesi Mali Hizmetler Müdürlüğüne yatırıldığına dair makbuz) veya Banka Teminat Mektubu
(Süresiz ve limit içi),
3. Ticaret Sicil Gazetesi, (Tüzel kişiliğin sermaye ve ortaklık durumunu gösterir en son yayımlanan ticaret sicil gazetesi,)
4. Oda Kayıt Belgesi, (İlanın çıkarıldığı yıl içerisinde alınmış olmalıdır.)
5. Temsile yetkili Noter onaylı İmza Sirküleri/İmza Beyannamesi,
6. Vergi Levhası, (İlanın çıkarıldığı yıl içerisinde güncel şekliyle alınmış olmalıdır.)
7. Türkiye’de tebligat adres ve iletişim bilgileri beyanı,
8. Belediyemize son ödeme tarihi geçmiş borcu olmadığına dair Mali Hizmetler Müdürlüğünden alınmış onaylı belge, (İlan tarihinden sonra alınmış
olması gerekmektedir.)
9. Ekap Yasaklı Sorgulama Belgesi, (Katılımcının ihale yasaklısı çıkması durumunda ihaleye katılamaz.)
İç Zarf (Teklif Mektubu),