Edirne Milli Emlak'tan 9.8 milyon TL'ye satılık 49 gayrimenkul!
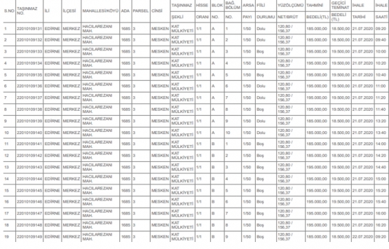
Edirne Milli Emlak Müdürlüğü, mülkiyeti Edirne Milli Emlak Müdürlüğü'ne ait 49 adet gayrimenkul 9 milyon 835 bin 550 TL'ye satıyor...
Edirne Milli Emlak Müdürlüğü, mülkiyeti Edirne Milli Emlak Müdürlüğü'ne ait 49 adet gayrimenkul 9 milyon 835 bin 550 TL'ye satılıyor. Gayrimenkullerin satış ihalesi 21 Temmuz 2020'de gerçekleştirilecek.
İlan Metni:



Yukarıda nitelikleri, tahmini bedelleri ve geçici teminatları belirtilen 1-51 (51. sıra dahil) sıradaki taşınmazların satış ihalesi 2886 Sayılı Devlet İhale Kanununun 45. maddesi gereğince Açık Teklif Usulü ile 52. sıradaki taşınmazın irtifak hakkı ihalesi 2886 Sayılı Devlet İhale Kanununun 51. maddesi (g) bendi gereğince Pazarlık Usulü ile karşılarında belirtilen tarih ve saatte İstasyon Mahallesi Şehit Emniyet Müdürü Ertan Nezihi Turan Cad. No:63 22030-EDİRNE adresindeki Çevre ve Şehircilik İl Müdürülüğünde Konferans salonunda teşekkül edecek komisyon huzurunda yapılacaktır.
1- İhale ile ilgili dosya ve şartname mesai saatleri dahilinde Milli Emlak Müdürlüğünde ücretsiz görülebilir.
2- İhaleye katılmak isteyenlerin;
a) Yasal yerleşim yerini gösterir belgeyi (ikametgâh belgesi)
b) Tebligat için Türkiye'de adres göstermeleri,
c) Gerçek kişilerin TC kimlik numarasını, tüzel kişilerin ise vergi kimlik numarasını bildirmeleri, gerçek kişilerin Nüfus Cüzdanı suretini,
ç) Geçici teminat makbuzunu veya teminat mektubunu,
d) Özel hukuk tüzel kişilerinin, yukarıda belirtilen şartlardan ayrı olarak, İdare merkezlerinin bulunduğu yer mahkemesinden veya siciline kayıtlı bulunduğu Ticaret veya Sanayi Odasından yahut benzeri mesleki kuruluştan, ihalenin yapıldığı yıl içinde alınmış sicil kayıt belgesi ile tüzel kişilik adına ihaleye katılacak veya teklifte bulunacak kişilerin tüzel kişiliği temsile tam yetkili olduklarını gösterir noterlikçe tasdik edilmiş imza sirkülerini veya vekâletnameyi vermeleri; kamu tüzel kişilerinin ise, yukarıdaki 2. maddenin (b), (ç) bentlerinde belirtilen şartlardan ayrı olarak tüzel kişilik adına ihaleye katılacak veya teklifte bulunacak kişilerin tüzel kişiliği temsile yetkili olduğunu belirtir belgeyi komisyona teslim etmek zorundadırlar.
3- Geçici teminatın, mevduat veya katılım bankalarından alınacak teminat mektubu olarak verilmesi halinde, geçici teminat mektubunun süresiz olması ve 2886 sayılı Devlet İhale Kanunu’nun 27. maddesi ve Hazine Taşınmazlarının İdaresi Hakkında Yönetmeliğin 26. maddesinde belirtilen hususları taşıması gerekmektedir.
4- İstekliler ihale saatine kadar İhale Komisyonuna ulaşması kaydıyla, 2886 sayılı Devlet İhale Kanunu hükümlerine göre hazırlayacakları teklif mektuplarını iadeli taahhütlü posta ile de gönderebilirler, postadaki gecikmeler kabul edilmez.
5- 4706 sayılı Kanun 4. maddesinin 8. fıkrası uyarınca kamu konutlarında oturanlar, ikamet ettikleri kamu konutunu öncelikli olarak satın alma hakkına sahiptirler. Taşınmazların boş veya dolu olup olmadıkları mesai saatleri içerisinde Milli Emlak Müdürlüğünden öğrenilebilir.
6- Komisyon gerekçesini belirtmek şartıyla ihaleyi yapıp yapmamakta serbesttir.
İlan olunur.
NOT:Türkiye genelindeki ihale bilgileri www.milliemlak.gov.tr internet adresinden öğrenilebilir.