İzmir Defterdarlığı'ndan 22.6 milyon TL'lik okul inşaatı ihalesi!
İzmir Defterdarlığı Milli Emlak Dairesi Başkanlığı tarafından arsa karşılığı okul inşaatı işi ihale ediliyor..
İzmir Defterdarlığı Milli Emlak Dairesi Başkanlığı tarafından İzmir Karaburun ve Buca'daki arsalara karşılık Menemen'de 24 derslikli ilkokul binası inşaatı, Çeşme'deki arsalara karşılık Kemalpaşa'da 24 derslikli ilkokul binası, Çeşme, Foça ve Buca'daki arsalara karşılık Bornova'da 16 derslikli ilkokul binası yapılacak. Toplam bedeli 22 milyon 654 bin 902 TL olarak belirlenen inşaat işleri için ihale 25 Nisan'da yapılacak.
ARSA KARŞILIĞI İNŞAAT İHALESİ YAPILACAKTIR
İzmir Defterdarlığı Milli Emlak Dairesi Başkanlığından:



1 - Arsa karşılığı inşaat ihalesi 2886 sayılı Devlet İhale Kanunu, Hazine Taşınmazlarının İdaresi Hakkındaki Yönetmelik ve 298 sıra sayılı Milli Emlak Genel Tebliği hükümlerine göre (Tablo-1 deki taşınmazlar için) 25/04/2018 tarihinde saat 10:00 da, (Tablo-3 deki taşınmazlar için) 25/04/2018 tarihinde saat 15:00 de,(Tablo-5 deki taşınmazlar için) 26/04/2018 tarihinde saat 10:00 da İzmir Defterdarlığında (7. Kat Toplantı Salonu) toplanacak Komisyon marifetiyle PAZARLIK USULÜ ile yapılacaktır.
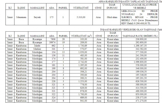
2 - Tablo 1 de belirtilen taşınmaz üzerine mevcut projesine göre yapımı planlanan okul binasına karşılık (%10 Çevre Düzenlemesi + KDV dahil toplam inşaat bedeli 9.296.406,00 TL maliyetli MEB-2014-24 İO PROJE NUMARALI 24 DERSLİK İLKOKUL) Tablo 2 de belirtilen 20 (yirmi) adet ve toplam 9.320.000,00 TL tahmini bedelli taşınmazlar verilerek bedeller arasında Hazine lehine meydana gelen 23.594,00 TL farkın arttırılması suretiyle teklif alınacak ve sözleşme düzenlenmeden önce Hazineye nakden ve peşin olarak ödenecektir.
3 - Tablo 3 de belirtilen taşınmaz üzerine mevcut projesine göre yapımı planlanan ortaokul binasına karşılık (%10 Çevre Düzenlemesi + KDV dahil toplam inşaat bedeli 10.210.197,80 TL maliyetli MEB-2014-24 OO PROJE NUMARALI 24 DERSLİK ORTAOKUL) Tablo 4 de belirtilen 11 (onbir) adet ve toplam 10.230.000,00 TL tahmini bedelli taşınmazlar verilerek bedeller arasında Hazine lehine meydana gelen 19.802,20 TL farkın arttırılması suretiyle teklif alınacak ve sözleşme düzenlenmeden önce Hazineye nakden ve peşin olarak ödenecektir.
4 - Tablo 5 de belirtilen taşınmaz üzerine mevcut projesine göre yapımı planlanan ilkokul binasına karşılık (%10 Çevre Düzenlemesi + KDV dahil toplam inşaat bedeli 3.148.299,00 TL maliyetli İZMİR-10415.16 OO PROJE NUMARALI 16 DERSLİK İLKOKUL)Tablo 6 da belirtilen 6 (altı) adet ve toplam 3.182.564,00 TL tahmini bedelli taşınmazlar verilerek bedeller arasında Hazine lehine meydana gelen 34.265,00 TL farkın arttırılması suretiyle teklif alınacak ve sözleşme düzenlenmeden önce Hazineye nakden ve peşin olarak ödenecektir.
5 - Okul yapımı için belirlenen taşınmazların zemin etütleri, uygulama projeleri ve inşaat ruhsatının alınması yüklenici tarafından yapılacaktır.
6 - Yüklenicinin, yer tesliminden itibaren 120 (yüzyirmi) gün içerisinde; zemin etüdünü yaptırması, tip projesi, teknik şartnamesi ve mahal listesi dikkate alınarak, okul inşaatı uygulama projelerini (mimari, statik, elektrik, mekanik, çevre tanzim) zemine uygun olarak hazırlanması ve bu süre içerisinde inşaat ruhsatını alması zorunludur.
7 - Projenin uygulama süresi sözleşme tarihinden itibaren Tablo 1 de belirtilen taşınmazlar için 520 (beşyüzyirmi) gün ,Tablo 3 de belirtilen taşınmazlar için 520 (beşyüzyirmi) gün, Tablo 5 de belirtilen taşınmazlar için 420 (dörtyüzyirmi) gündür.
8 - Geçici teminat bedeli (Tablo-1 deki taşınmazlar için) 1.398.000,00 TL, (Tablo-3 deki taşınmazlar için) 1.534.500,00 TL, (Tablo-5 deki taşınmazlar için) 477.384,60 TL dir.
9 - Arsa karşılığı inşaat yapılacak her taşınmaz için İhale dokümanı bedeli 500,00 TL (Beşyüz) dir.
10 - İhale 4734 Sayılı Kamu İhale Kanununa tabi değildir.
11 - Posta ile yapılacak müracaatlarda teklifin 2886 sayılı Devlet İhale Kanununun 37. maddesine uygun hazırlanması ve ihale saatinden önce komisyona ulaşması şarttır.
İHALEYE KATILACAK İSTEKLİLERDEN İSTENİLEN BELGELER
a) İhale konusu işe ilişkin şartnamede belirtilen ekonomik ve mali yeterlilik ile mesleki ve teknik yeterliliğin belirlenmesine ilişkin istenen belgeleri,
b) Geçici teminat olan (Tablo-1 deki taşınmazlar için) 1.398.000,00 TL, (Tablo-3 deki taşınmazlar için) 1.534.500,00 TL, (Tablo-5 deki taşınmazlar için) 477.384,60 TL'nin nakden veya Teminat Mektubu ile verilebileceği, nakit yatırılması halinde İlimiz Muhasebe Müdürlüğüne, Teminat Mektubu olarak verilmesi halinde 2886 sayılı Devlet İhale Kanununa göre düzenlenmiş ve ilgili banka şubesince verilen teminat mektupları toplamı ile aynı şubenin limitlerinin de gösterildiği süresiz teminat mektubunu,
c) Yasal yerleşim yerini gösterir belgeyi,
d) Tebligat için Türkiye'de adres beyanı,
e) Arsa karşılığı inşaat yapılacak her taşınmaz için İhale dokümanı bedeli olan 500,00 TL nin Muhasebe Müdürlüğüne yatırıldığına ilişkin alındı belgesi,
f) Gerçek kişilerin TC kimlik numarasını bildirmeleri ve nüfus cüzdanı suretini vermeleri (Aslı ihale sırasında ibraz edilecektir.) Tüzel Kişilerin Vergi kimlik numaralarını bildirmeleri, Özel Hukuk Tüzel Kişilerin idare merkezlerinin bulunduğu yer mahkemesinden veya siciline kayıtlı bulunduğu Ticaret veya Sanayi Odasından yahut benzeri mesleki kuruluştan ihalenin yapıldığı yıl içinde alınmış sicil kayıt belgesi ile tüzel kişilik adına ihaleye katılacak veya teklifte bulunacak kişilerin tüzel kişiliği temsile yetkili olduklarını gösterir noterlikçe tasdik edilmiş imza sirkülerini veya vekaletnameyi kamu tüzel kişilerin ise tüzel kişilik adına ihaleye katılacak veya teklifte bulunacak kişilerin tüzel kişiliği temsile yetkili olduğunu belirtir belgeyi, en geç ihale saatinde Komisyona ibraz etmeleri zorunludur.
* Postada meydana gelebilecek gecikmelerden dolayı idare veya komisyon herhangi bir sorumluluk kabul etmez.
* İhale komisyonu ihaleyi yapıp yapmamakta serbesttir.
* İhale ilanı www.izmirdefterdarligi.gov.tr, www.izmir.gov.tr ve www.milliemlak.gov.tr adreslerinden görülebilir.