Satılık yazlık arayanlara büyük fırsat! İstanbul Üniversitesi Antalya'da konut satıyor!
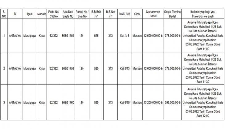
İstanbul Üniversitesi Rektörlüğü, Antalya Muratpaşa Kışla Mahallesi'nde yer alan 3 adet konutu satışa çıkardı. İşte bugünkü Resmi Gazete'de yayımlanan o ihale ilanı...
TAŞINMAZLAR SATILACAKTIR
İstanbul Üniversitesi Rektörlüğünden:

Yukarıda nitelikleri belirtilen İstanbul Üniversitesi Rektörlüğü adına kayıtlı taşınmaz malda bulunan 6 ,13 ve 15 nolu. bağımsız bölümler 2886 sayılı Devlet İhale Kanununun 36. maddesine göre "Kapalı Teklif Usulü" ile gösterilen gün ve saatte peşin bedelle satışa çıkarılmıştır.
Peşin bedelle satışa çıkarılan taşınmaz malın bağımsız bölümleri Antalya İli Muratpaşa İlçesi Demircikara Mahallesi 1425 Sok No: 6’da bulunan İstanbul Konukevi İhale Salonunda yapılacak ihale ile satılacaktır.
İhaleye iştirak edecek isteklilerin ihale şartnamesini 2.500,00-TL bedel karşılığında 01.06.2022 tarih Çarşamba günü mesai bitimine kadar İstanbul Üniversitesi Rektörlüğü İdari ve Mali İşler Daire Başkanlığı Taşınmazlar Bürosundan 02.06.2022 Perşembe günü 10:00-17:00 saatleri arası İstanbul Üniversitesi Antalya İli Muratpaşa İlçesi Demircikara Mahallesi 1425 Sok No 6’da bulunan İstanbul Üniversitesi Konuk Evinden temin edebilirler.
1- İHALEYE KATILMA ŞARTLARI
A-İSTEKLİNİN GERÇEK KİŞİ OLMASI HALİNDE
a) Nüfus cüzdan sureti, (T.C Kimlik numarası içeren)
b) Türkiye sınırları içerisinde ikametgahının olduğunu içerir belge, (Nüfus Müdürlüğü veya Muhtardan alınmış ikametgah veya yerleşim yeri belgesi)
c) Noter tasdikli imza beyannamesi
ç) Vekaleten ihaleye katılma halinde, istekli adına katılan kişinin ihaleye katılmaya ilişkin yetkisinin bulunduğu noter tasdikli vekaletnamesi ile noter tasdikli imza beyannamesi
d) İdarece belirlenen muhammen bedelin % 3 oranında geçici teminatı ödemiş olmaları ve geçici teminatın nakit ödenmesi durumunda ödendiğine dair dekontu. Nakit Geçici teminat İstanbul Üniversitesi Strateji Geliştirme Daire Başkanlığı veznesine veya adı geçen Daire Başkanlığının Türkiye Halk Bankası A.Ş. Beyazıt Şubesi nezdinde bulunan TR 300001200982000006200266 nolu EFT∕HAVALE yatırılması gerekmektedir
Geçici teminatın Banka Teminat Mektubu olması durumunda; Teminat mektupları 2886 sayılı Devlet İhale Kanunu 27 Maddesine uygun olması zorunludur. Süresiz, limit içi olarak düzenlenmelidir.İşin özelliğini belirten banka teyit yazısı ile sunulacaktır.
e) İhaleye katılabilmek için şartname almak zorunludur. Şartname bedelini İstanbul Üniversitesi Strateji Geliştirme Daire Başkanlığı veznesine veya adı geçen Daire Başkanlığının Türkiye Halk Bankası A.Ş. Beyazıt Şubesi nezdinde bulunan TR 300001200982000006200266 nolu EFT∕HAVALE yapılabilinir. Satış şartnamesi satın alındığına dair dekont aslı
f) İhaleye iştirak edecek tarafından her sayfası imzalanmış şartname
g) Taşınmaz mal satış şartnamesinde şekli ve içeriği belirlenen teklif mektubu
B-İSTEKLİNİN TÜZEL KİŞİ OLMASI HALİNDE,
a) Özel Hukuk Tüzel kişilerinin, İdare merkezlerinin bulunduğu yer mahkemesinden veya siciline kayıtlı bulunduğu Ticaret veya Sanayi Odasından yahut benzeri meslek kuruluşundan, ihalenin yapıldığı yıl içinde alınmış, sicil kayıt belgesi ile Tüzel kişilik adına ihaleye katılacak veya teklifte bulunacak kişilerin tüzel kişiliği temsile tam yetkili olduklarını gösterir noter onaylı vekaletname
b) Temsilcinin kimlik fotokopisi, vergi kimlik numarasını gösterir belge
c) İhalenin yapıldığı yıl içerisinde; (2022 yılı) ilgilisine göre tüzel kişiliğin ortakları, üyeleri veya kurucuları ile tüzel kişiliğin yönetimindeki görevlileri belirten son durumu gösterir Ticaret Sicil Gazetesi veya yukarıdaki bilgilerin tamamını gösterir ilgili odadan onaylı belge
ç) İdarece belirlenen muhammen bedelin % 3 oranında geçici teminatı ödemiş olmaları ve geçici teminatın nakit ödenmesi durumunda ödendiğine dair dekontu. Nakit Geçici teminat İstanbul Üniversitesi Strateji Geliştirme Daire Başkanlığı veznesine veya adı geçen Daire Başkanlığının Türkiye Halk Bankası A.Ş. Beyazıt Şubesi nezdinde bulunan TR 300001200982000006200266 nolu EFT∕HAVALE yatırılması gerekmektedir.
Geçici teminatın Banka Teminat Mektubu olması durumunda; Teminat mektupları 2886 sayılı Devlet İhale Kanunu 27. maddesine uygun olması zorunludur. süresiz, limit içi olarak düzenlenmelidir. İşin özelliğini belirten banka teyit yazısı ile sunulacaktır.
d) İhaleye girebilmek için şartname almak zorunludur. Şartname bedelini İstanbul Üniversitesi Strateji Geliştirme Daire Başkanlığı veznesine veya adı geçen Daire Başkanlığının Türkiye Halk Bankası A.Ş. Beyazıt Şubesi nezdinde bulunan TR 300001200982000006200266 nolu EFT∕HAVALE yapılabilinir. Satış şartnamesi satın alındığına dair dekont aslı
e) Taşınmaz mal satış şartnamesinde şekli ve içeriği belirlenen teklif mektubu
f) İhaleye iştirak edecek tarafından her sayfası imzalanmış şartname
2-İhale dokümanlarında hüküm bulunmayan hususlar için 2886 sayılı Devlet İhale Kanunu hükümleri, kıyasen Hazine Taşınmazları İdaresi Hakkında Yönetmelik hükümleri aynen uygulanır.
3-Taşınmazların fiili ve imar durumu ile tapu kayıtlarındaki şerhler ve bedel takdirine ilişkin hususlar hakkında İdareye karşı herhangi bir tazminat talebinde bulunulmayacaktır.
4-Pey aralığı 50.000,00-TL'dir.
5-2886 sayılı Devlet İhale Kanunun 31. maddesine göre onaylanan ihale kararının tebliğ tarihinden itibaren onbeş gün içinde müşteri ihale bedelini peşin ödeyecektir.
6-İhaleye iştirak edeceklerin, 2886 sayılı Kanunun 37 ci maddesine göre hazırlanan teklif zarflarını İstanbul Üniversitesi Antalya Konuk Evinin bulunduğu Demircikara Mahallesi 1425 Sok No: 6 Muratpaşa∕ANTALYA adresinde toplanacak olan ihale komisyonu Başkanlığına ihale saatine kadar teslim etmeleri gerekmektedir.
7- İhaleye ait şartname aşağıdaki internet adresimizden bedelsiz olarak görünebilinir. İsteklilerin ihaleye katılımı halinde mevcut dokümanı aşağıda belirtilen linkten indirmeleri gereklidir.
http://idarimali.istanbul.edu.tr/tr/
8-İhaleye iştirak edecekler bedeli karşılığında kendisi veya vekili şartname satın almak zorundadır Şartname alan tarafından şartları da kabul etmiş sayılır.
9-Tekliflerin ihalenin belirtilen saatine kadar verilmesi zorunludur. Belirtilen saatten sonra verilen teklifler kabul edilmez.
10-Posta ile yapılacak müracaatlarda teklifin 2886 sayılı Devlet İhale Kanunun 37. maddesine uygun hazırlanması ve teklifin ihale saatinden önce komisyona ulaşması şarttır. Postadaki meydana gelebilecek gecikmelerde dolayı İdare veya komisyon herhangi bir sorumluluk kabul etmez komisyon ihaleyi yapıp yapmamakta serbesttir.
11-İşbu ihale ilanı genel bilgi mahiyetinde olup, yapılacak ihaleye ait genel hükümler ve açıklamalar taşınmaz mal satış şartnamesinde yapılmıştır. İhale belirtilen hükümlere uygun olarak yapılacaktır.
İLAN OLUNUR.
Kütahya Belediyesi 57 arsayı 24 ay taksitle satıyor! 175 bin TL'den başlayan fiyatlarla...
Milli Emlak İstanbul'da 485 bin liraya konut satıyor! Milli Emlak'tan kelepir daire fırsatı!