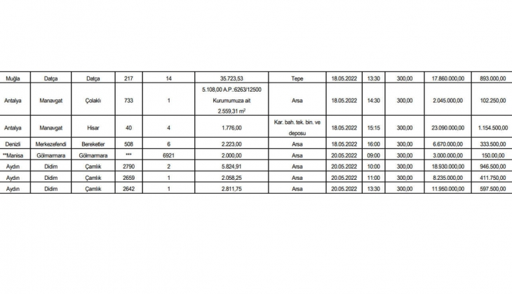
SGK 13 ilde 61 gayrimenkulü satıyor! KDV'den muaf fırsatıyla!
SGK, Ankara, Çorum, Karaman, Kütahya, Samsun, Erzurum, Nevşehir, Uşak, Muğla, Antalya, Denizli, Manisa ve Aydın illerinde yer alan 61 gayrimenkulü KDV'den muaf şekilde satışa sundu.
GAYRİMENKULLER SATILACAKTIR
Sosyal Güvenlik Kurumu Başkanlığından:
Mülkiyeti Kurumumuza ait aşağıda tapu bilgileri yazılı gayrimenkullerin, Bakanlıklara Bağlı, İlgili, İlişkili Kurum ve Kuruluşlar ile Diğer Kurum ve Kuruluşların Teşkilatı Hakkında Cumhurbaşkanlığı Kararnamesinin (Kararname Numarası: 4) 423’üncü maddesinin birinci fıkrasının (a) bendi ve Sosyal Güvenlik Kurumu Taşınmazlar Yönetmeliğinin 21, 22 ve 23’üncü maddelerine göre (Yönetmeliğin 23’üncü maddesinin (n) bendi hariç olmak üzere) açık artırma usulü ile satışı yapılacaktır.
Kurumumuz 2886 sayılı Devlet İhale Kanunu’na tabi olmayıp gayrimenkul satış ihalesini yapıp yapmamakta tamamen serbesttir. Satış ihalesi ile ilgili verilen bilgiler taahhüt niteliğinde olmayıp genel bilgi mahiyetindedir.
İhaleye katılmak isteyenler, taşınmazın İhale dokümanını, İdarenin adresinde bedelsiz olarak görebilir. Satın alınmak istenilen gayrimenkul için belirlenen Şartname satın alma bedeli ve teminat bedelini; tahsilata yetkili bankalara “Sosyal Güvenlik Kurumuna ödeme yapma” talebiyle müracaatta bulunarak, “Kurumsal Tahsilatlar” “SGK Mosip Sistemi” “Borca Karşılık Tahsilat” menüsünden TCKN veya Vergi Numarası ile 32 kodundan “Saymanlık Merkez Muhasebe” seçilerek Şartname Bedeli/ Kesin Teminat yatırılarak, Kurumun İnşaat ve Emlak Daire Başkanlığının Adakale Sok. No: 30 Kızılay/ Ankara adresinden veya taşınmazın bulunduğu Sosyal Güvenlik İl Müdürlüğünden alınması zorunludur.

Teminat olarak, Devlet İhale Kanunu ile Kamu İhale Kanunu’nda belirtilen tedavüldeki Türk parası, 19/10/2005 tarihli ve 5411 sayılı Bankacılık Kanunu kapsamındaki kurum ve kuruluşlar tarafından verilen süresiz kesin teminat mektupları, Resmî Gazete’de belirlenen günlük bedelleri üzerinden Hazine Müsteşarlığınca ihraç edilen devlet iç borçlanma senetleri ve bu senetlerin yerine geçen belgeler kabul edilir. Başka teminatlar kabul edilmez.
Teklif ve belgeler, satın alınmak istenilen gayrimenkulün ihale gününden bir önceki iş günü saat 17:00’ a kadar ihalenin yapılacağı Sosyal Güvenlik Kurumu İnşaat ve Emlak Daire Başkanlığı, Adakale Sok. No: 30 Kızılay/ANKARA adresine teslim edilecektir. Daha fazla bilgi almak isteyenler Kuruma ait 0312 585 61 46 /585 61 47/ 585 61 44 /585 61 34 no.lu telefonlardan bilgi alabilirler.
İhale Komisyonuna bizzat müracaat edilerek ihaleye iştirak edilir. Posta ve başka yöntemlerle ihaleye iştirak edip ihaleye katılmayan teklif sahibinin teklifi son ve kesin teklif olarak kabul edilir. Satın alınmak istenilen gayrimenkule ait teklif ve belgeler teslim tarih ve saatinden sonra idareye ulaşması halinde değerlendirmeye alınmaz.





