TOKİ'den 20 bin lira peşin 1200 lira taksitle 3+1 sıfır daire kampanyası! Başvurmak için son günler
TOKİ, hükümetin açıkladığı konut finansman projesinin akabinde 20 bin lira peşinatla aylık bin 200 lira taksitli ödemelerle 3+1 daireleri satışa çıkardı. TOKİ, kampanyasının 24 Mayıs'ta sona ereceği açıklanmıştı. Başvuru süresi uzatıldı. İşte detaylar...
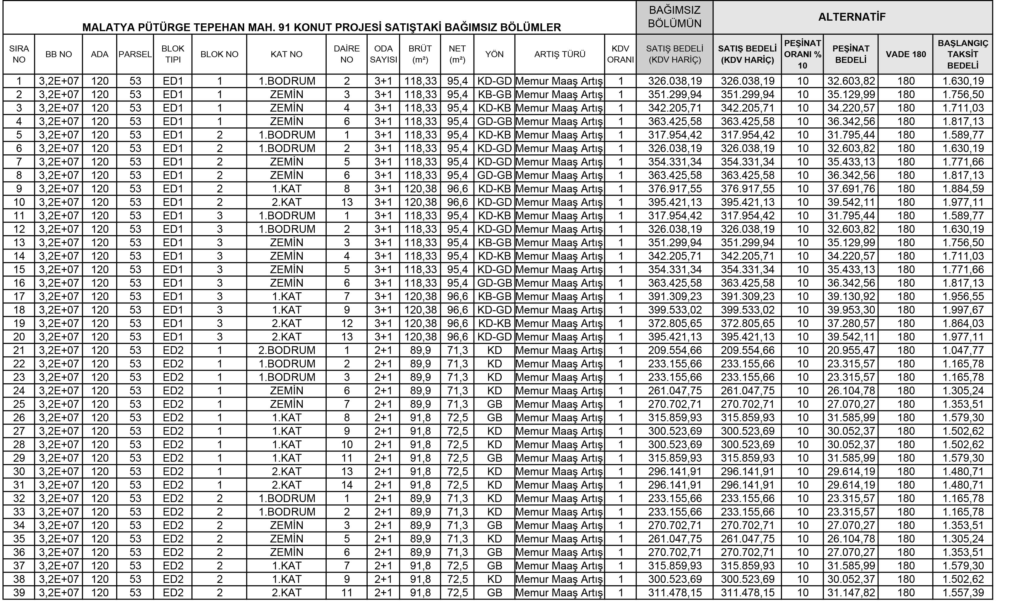
TOKİ tarafından inşa ettirilen Malatya Pütürge Tepehan Mah. 96 Adet Konut Projesi” kapsamında; 3+1 ve 2+1 nitelikli 56 adet konutun kuralı satışına ilişkin 24 Mayıs'ta sona ereceği açıklanani başvuru toplama işlemleri süresi uzatıldı. Ev sahibi olmak isteyenler 31 Mayıs 2022 tarihine kadar TOKİ'ye ev satın almak için başvuruda bulunabilecek.
TOKİ, yine 30 Mayıs 2022, Saat 11:00’de gerçekleştirileceğini açıkladığı Hak Sahipliği ve Konut Belirleme Kurasını da 03 Haziran 2022 saat: 11:00 tarihine erteledi.
